Association of Time to Kidney Transplantation with Graft Failure among U.S. Patients with End-Stage Renal Disease Due to Lupus Nephritis
Supporting Files
-
Apr 2015
-
File Language:
English
Details
-
Alternative Title:Arthritis Care Res (Hoboken)
-
Personal Author:
-
Description:Objective
Providers recommend waiting to transplant patients with end-stage renal disease (ESRD) secondary to lupus nephritis (LN), to allow for quiescence of systemic lupus erythematosus (SLE)-related immune activity. However, these recommendations are not standardized, and we sought to examine whether duration of time to transplant was associated with risk of graft failure in U.S. LN-ESRD patients.
Methods
Using national ESRD surveillance data (United States Renal Data System), we identified 4743 U.S. patients with LN-ESRD who received a first transplant on or after 1/1/00 (follow-up through 9/30/11). The association of wait time (time from ESRD start to transplant) with graft failure was assessed with Cox proportional hazards models, with splines of the exposure to allow for non-linearity of the association and with adjustment for potential confounding demographic, clinical, and transplant factors.
Results
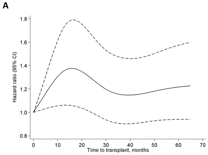
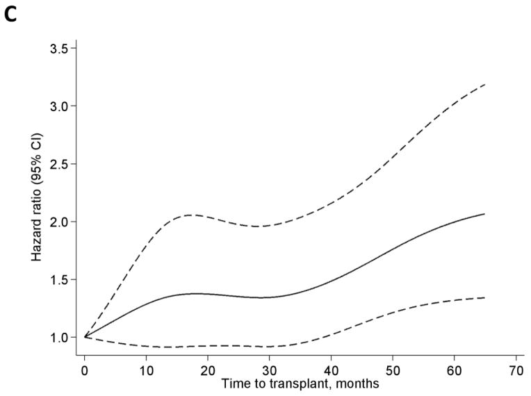
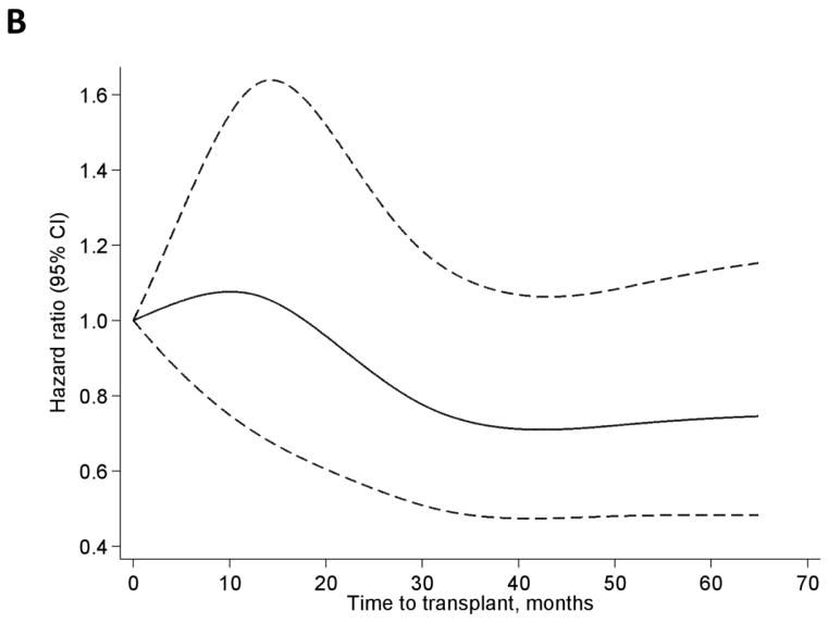
White LN-ESRD patients who were transplanted later (vs. <3 months on dialysis) were at increased risk of graft failure [adjusted HR (95% confidence interval): 3–12 months, 1.23 (0.93–1.63); 12–24 months, 1.37 (0.92–2.06); 24–36 months, 1.34 (0.92–1.97); and >36 months, 1.98 (1.31–2.99)]. However, no such association was seen among black recipients [3–12 months, 1.07 (0.79–1.45); 12–24 months, 1.01 (0.64–1.60); 24–36 months, 0.78 (0.51–1.18); and >36 months, 0.74 (0.48–1.13)].
Conclusion
While future studies are needed to examine the potential confounding effect of clinically recognized SLE activity on the observed associations, these results suggest that longer wait times to transplant may be associated with equivalent or worse, not better, graft outcomes among LN-ESRD patients.
-
Subjects:
-
Source:Arthritis Care Res (Hoboken). 67(4):571-581
-
Pubmed ID:25251922
-
Pubmed Central ID:PMC4370810
-
Document Type:
-
Funding:KL2-TR-000455/TR/NCATS NIH HHS/United States ; R01 AR065493/AR/NIAMS NIH HHS/United States ; KL2 TR000455/TR/NCATS NIH HHS/United States ; K01 HD074726/HD/NICHD NIH HHS/United States ; R01-AR-065493/AR/NIAMS NIH HHS/United States ; R24 MD008077/MD/NIMHD NIH HHS/United States ; K01-HD-074726/HD/NICHD NIH HHS/United States ; UL1-TR-000454/TR/NCATS NIH HHS/United States ; UL1 TR000454/TR/NCATS NIH HHS/United States ; 1R24-MD-008077-01/MD/NIMHD NIH HHS/United States ; U01 DP005119/DP/NCCDPHP CDC HHS/United States
-
Place as Subject:
-
Volume:67
-
Issue:4
-
Collection(s):
-
Main Document Checksum:urn:sha256:4a08018a7c7e3c42eb5d0871e08c77bdf888d9d8e8450e32b0747aa10c40e8ba
-
Download URL:
-
File Type:
Supporting Files
File Language:
English
ON THIS PAGE
CDC STACKS serves as an archival repository of CDC-published products including
scientific findings,
journal articles, guidelines, recommendations, or other public health information authored or
co-authored by CDC or funded partners.
As a repository, CDC STACKS retains documents in their original published format to ensure public access to scientific information.
As a repository, CDC STACKS retains documents in their original published format to ensure public access to scientific information.
You May Also Like
COLLECTION
CDC Public Access