Age-Specific Associations Between Violence Exposure and Past 30-Day Marijuana and Alcohol Use
Supporting Files
-
6 2019
-
File Language:
English
Details
-
Journal Article:J Res Adolesc
-
Personal Author:
-
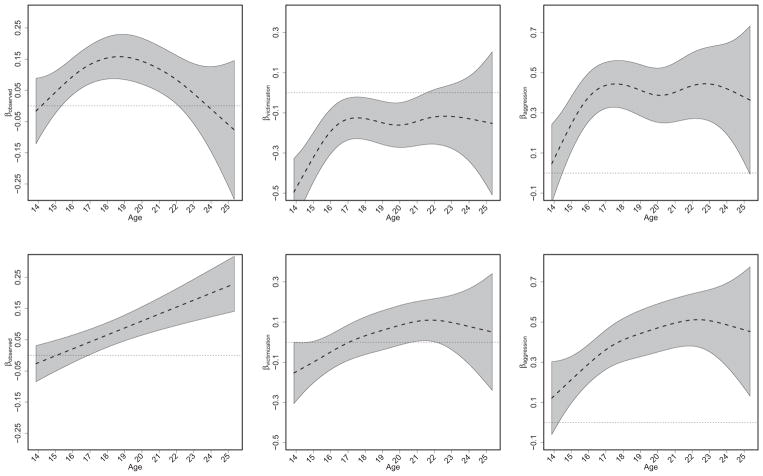
Description:Using data from a cohort study of students at risk for high school dropout, we examined associations between violence exposure and past 30-day alcohol and marijuana use. We used varying-coefficient regression with person-level fixed effects to estimate how those associations changed within-person across ages approximately 14-23. Generally, violence perpetration was most strongly associated with substance use, within-person. Substance use became increasingly associated with both observed violence and violence perpetration during early/middle adolescence; this increase continued longer into development (age 18+) for alcohol use. Across most of the age range studied here, violence victimization was minimally associated with within-person changes in substance use. Results indicate age-specific associations between violence exposure and alcohol and other drug use, which may be useful for informing prevention strategies.
-
Keywords:
-
Source:J Res Adolesc. 29(2):480-492
-
DOI:
-
Pubmed ID:29683238
-
Pubmed Central ID:PMC6201281
-
Document Type:
-
Funding:
-
Genre:
-
Volume:29
-
Issue:2
-
Collection(s):
-
Main Document Checksum:urn:sha-512:bcff1aa9dee2c583c5441bc36ced608f9f494f86d05c6b5a2f5e6b310a53e441ba58037b3609ec74c974e0ba0ed11e8239d875cbfae0e44217b592d35e2053c9
-
Download URL:
-
File Type:
Supporting Files
File Language:
English
ON THIS PAGE
CDC STACKS serves as an archival repository of CDC-published products including
scientific findings,
journal articles, guidelines, recommendations, or other public health information authored or
co-authored by CDC or funded partners.
As a repository, CDC STACKS retains documents in their original published format to ensure public access to scientific information.
As a repository, CDC STACKS retains documents in their original published format to ensure public access to scientific information.
You May Also Like
COLLECTION
CDC Public Access