U.S. flag An official website of the United States government.
Official websites use .gov

A .gov website belongs to an official government organization in the United States.

Secure .gov websites use HTTPS

A lock ( ) or https:// means you've safely connected to the .gov website. Share sensitive information only on official, secure websites.

i

Evaluation of a portable gas chromatograph with photoionization detector under variations of VOC concentration, temperature, and relative humidity

Supporting Files
File Language:
English


Details

  • Journal Article:
    J Occup Environ Hyg
  • Personal Author:
  • Description:
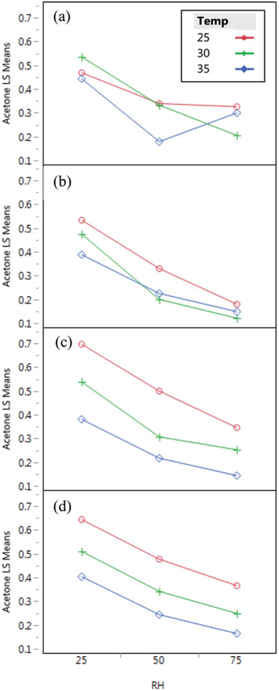
    The objective of this present study was to evaluate the performance of a portable gas chromatograph-photoionization detector (GC-PID), under various test conditions to determine if it could be used in occupational settings. A mixture of 7 volatile organic compounds (VOCs)-acetone, ethylbenzene, methyl isobutyl ketone, toluene, m-xylene, p-xylene, and o-xylene-was selected because its components are commonly present in paint manufacturing industries. A full-factorial combination of 4 concentration levels (exposure scenarios) of VOC mixtures, 3 different temperatures (25°C, 30°C, and 35°C), and 3 relative humidities (RHs; 25%, 50%, and 75%) was conducted in a full-size controlled environmental chamber. Three repetitions were conducted for each test condition allowing for estimation of accuracy. Time-weighted average exposure data were collected using solid sorbent tubes (Anasorb 747, SKC Inc.) as the reference sampling medium. Calibration curves of Frog-4000 using the dry gases showed R| > 0.99 for all analytes except for toluene (R| = 0.97). Frog-4000 estimates within a test condition showed good consistency for the performance of repeated measurement. However, there was ∼41-64% reduction in the analysis of polar acetone with 75% RH relative to collection at 25% RH. Although Frog-4000 results correlated well with solid sorbent tubes (r = 0.808-0.993, except for toluene) most of the combinations regardless of analyte did not meet the <25% accuracy criterion recommended by NIOSH. The effect of chromatographic co-elution can be seen with m, p-xylene when the results are compared to the sorbent tube sampling technique with GC-flame ionization detector. The results indicated an effect of humidity on the quantification of the polar compounds that might be attributed to the pre-concentrator placed in the selected GC-PID. Further investigation may resolve the humidity effect on sorbent trap with micro GC pre-concentrator when water vapor is present. Although this instrument does not fulfill the accuracy criterion specified in the NIOSH technical report No. 2012-162, it can be used as a screening tool for range finding monitoring with dry gases calibration in the occupational setting rather than compliance monitoring.
  • Subjects:
  • Source:
    J Occup Environ Hyg. 15(4):351-360
  • DOI:
  • Pubmed ID:
    29333991
  • Pubmed Central ID:
    PMC6379918
  • Document Type:
  • Funding:
  • Genre:
  • Volume:
    15
  • Issue:
    4
  • Collection(s):
  • Main Document Checksum:
    urn:sha-512:77e530ea347c9abf3e3441556544b91662e4aabd3ca2db1836f2329ab3a63556ce0831c7f4cfa119e05f68525c1f87052d10d613980594d96938f5d542926cd1
  • Download URL:
  • File Type:
    Filetype[PDF - 1.96 MB ]
File Language:
English
ON THIS PAGE

CDC STACKS serves as an archival repository of CDC-published products including scientific findings, journal articles, guidelines, recommendations, or other public health information authored or co-authored by CDC or funded partners.

As a repository, CDC STACKS retains documents in their original published format to ensure public access to scientific information.