Approaches to Assess Vitamin A Status in Settings of Inflammation: Biomarkers Reflecting Inflammation and Nutritional Determinants of Anemia (BRINDA) Project
Supporting Files
Public Domain
-
Aug 16 2018
-
File Language:
English
Details
-
Alternative Title:Nutrients
-
Personal Author:
-
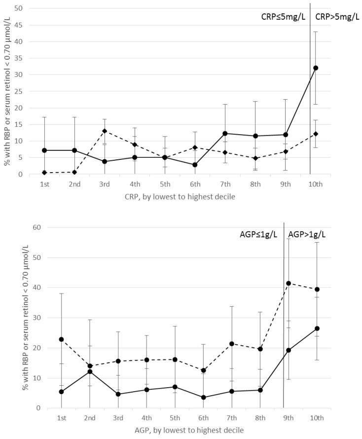
Description:The accurate estimation of vitamin A deficiency (VAD) is critical to informing programmatic and policy decisions that could have important public health implications. However, serum retinol and retinol binding protein (RBP) concentrations, two biomarkers often used to estimate VAD, are temporarily altered during the acute phase response, potentially overestimating the prevalence of VAD in populations with high levels of inflammation. In 22 nationally-representative surveys, we examined (1) the association between C-reactive protein (CRP) or α1-acid glycoprotein (AGP) and retinol or RBP, and (2) how different adjustment approaches for correcting for inflammation compare with one another. In preschool age children (PSC) and school age children (SAC), the association between inflammation and retinol and RBP was largely statistically significant; using the regression approach, adjustments for inflammation decreased the estimated prevalence of VAD compared to unadjusted VAD (range: -22.1 to -6.0 percentage points). In non-pregnant women of reproductive age (WRA), the association between inflammation and vitamin A biomarkers was inconsistent, precluding adjustments for inflammation. The burden of VAD can be overestimated if inflammation is not accounted for, and the regression approach provides a method for adjusting retinol and RBP for inflammation across the full range of concentrations in PSC and SAC.
-
Subjects:
-
Source:Nutrients. 2018; 10(8).
-
Pubmed ID:30115830
-
Pubmed Central ID:PMC6115742
-
Document Type:
-
Volume:10
-
Issue:8
-
Collection(s):
-
Main Document Checksum:urn:sha256:b0872baad8e0a2a7b21bbb691680d9c5d2a4c090d09ac109b9bb6c35a4fb566b
-
Download URL:
-
File Type:
Supporting Files
File Language:
English
ON THIS PAGE
CDC STACKS serves as an archival repository of CDC-published products including
scientific findings,
journal articles, guidelines, recommendations, or other public health information authored or
co-authored by CDC or funded partners.
As a repository, CDC STACKS retains documents in their original published format to ensure public access to scientific information.
As a repository, CDC STACKS retains documents in their original published format to ensure public access to scientific information.
You May Also Like
COLLECTION
CDC Public Access