U.S. flag An official website of the United States government.
Official websites use .gov

A .gov website belongs to an official government organization in the United States.

Secure .gov websites use HTTPS

A lock ( ) or https:// means you've safely connected to the .gov website. Share sensitive information only on official, secure websites.

i

Functional Studies of T Regulatory Lymphocytes in Human Schistosomiasis in Western Kenya

Supporting Files
File Language:
English


Details

  • Alternative Title:
    Am J Trop Med Hyg
  • Personal Author:
  • Description:
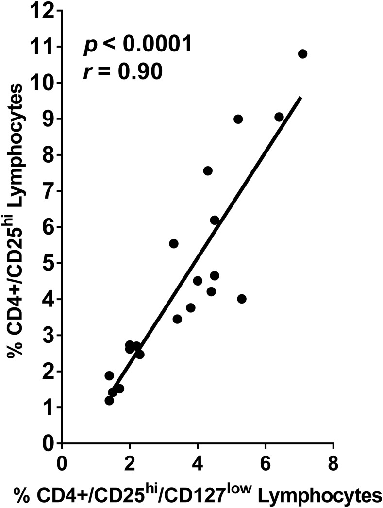
    Immunoregulation is considered a common feature of | infections, and elevated levels of T regulatory (Treg) lymphocytes have been reported during chronic human schistosomiasis. We now report that the removal of Treg (CD4+/CD25|/CD127| lymphocytes) from peripheral blood mononuclear cells (PBMCs) of |-infected individuals leads to increased levels of phytohemagglutinin (PHA)-stimulated interferon gamma (IFNγ) production and decreased interleukin-10 (IL-10) responses. Exposure to schistosome antigens did not result in measurable IFNγ by either PBMC or Treg-depleted populations. Interleukin-10 responses to soluble egg antigens (SEA) by PBMC were unchanged by Treg depletion, but the depletion of Treg greatly decreased IL-10 production to soluble worm antigenic preparation (SWAP). Proliferative responses to PHA increased upon Treg removal, but responses to SEA or SWAP did not, unless only initially low responders were evaluated. Addition of anti-IL-10 increased PBMC proliferative responses to either SEA or SWAP, but did not alter responses by Treg-depleted cells. Blockade by anti-transforming growth factor-beta (TGF-β) increased SEA but not SWAP proliferative responses by PBMC, whereas anti-TGF-β increased both SEA- and SWAP-stimulated responses by Treg-depleted cultures. Addition of both anti-IL-10 and anti-TGF-β to PBMC or Treg-depleted populations increased proliferation of both populations to either SEA or SWAP. These studies demonstrate that Treg appear to produce much of the antigen-stimulated IL-10, but other cell types or subsets of Treg may produce much of the TGF-β. The elevated levels of Treg seen in chronic schistosomiasis appear functional and involve IL-10 and TGF-β in antigen-specific immunoregulation perhaps leading to regulation of immunopathology and/or possibly decreased immunoprotective responses.
  • Subjects:
  • Source:
    Am J Trop Med Hyg. 2018; 98(6):1770-1781.
  • Pubmed ID:
    29692308
  • Pubmed Central ID:
    PMC6086154
  • Document Type:
  • Funding:
  • Place as Subject:
  • Volume:
    98
  • Issue:
    6
  • Collection(s):
  • Main Document Checksum:
    urn:sha256:1eb037aaa03a2f7b51e5e00a8490a0c0402c28905e6389d920968e6383c86015
  • Download URL:
  • File Type:
    Filetype[PDF - 1.46 MB ]
File Language:
English
ON THIS PAGE

CDC STACKS serves as an archival repository of CDC-published products including scientific findings, journal articles, guidelines, recommendations, or other public health information authored or co-authored by CDC or funded partners.

As a repository, CDC STACKS retains documents in their original published format to ensure public access to scientific information.