U.S. flag An official website of the United States government.
Official websites use .gov

A .gov website belongs to an official government organization in the United States.

Secure .gov websites use HTTPS

A lock ( ) or https:// means you've safely connected to the .gov website. Share sensitive information only on official, secure websites.

i

Constrained minimization problems for the reproduction number in meta-population models

Supporting Files
File Language:
English


Details

  • Alternative Title:
    J Math Biol
  • Personal Author:
  • Description:
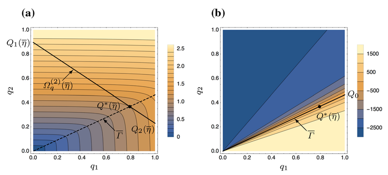
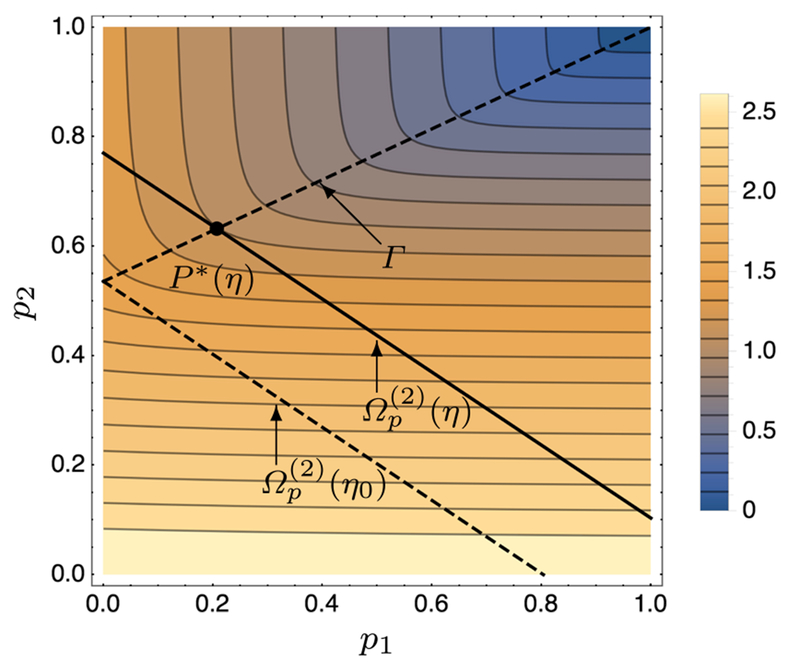
    The basic reproduction number ([Formula: see text]) can be considerably higher in an SIR model with heterogeneous mixing compared to that from a corresponding model with homogeneous mixing. For example, in the case of measles, mumps and rubella in San Diego, CA, Glasser et al. (Lancet Infect Dis 16(5):599-605, 2016. https://doi.org/10.1016/S1473-3099(16)00004-9 ), reported an increase of 70% in [Formula: see text] when heterogeneity was accounted for. Meta-population models with simple heterogeneous mixing functions, e.g., proportionate mixing, have been employed to identify optimal vaccination strategies using an approach based on the gradient of the effective reproduction number ([Formula: see text]), which consists of partial derivatives of [Formula: see text] with respect to the proportions immune [Formula: see text] in sub-groups i (Feng et al. in J Theor Biol 386:177-187, 2015.  https://doi.org/10.1016/j.jtbi.2015.09.006 ; Math Biosci 287:93-104, 2017.  https://doi.org/10.1016/j.mbs.2016.09.013 ). These papers consider cases in which an optimal vaccination strategy exists. However, in general, the optimal solution identified using the gradient may not be feasible for some parameter values (i.e., vaccination coverages outside the unit interval). In this paper, we derive the analytic conditions under which the optimal solution is feasible. Explicit expressions for the optimal solutions in the case of [Formula: see text] sub-populations are obtained, and the bounds for optimal solutions are derived for [Formula: see text] sub-populations. This is done for general mixing functions and examples of proportionate and preferential mixing are presented. Of special significance is the result that for general mixing schemes, both [Formula: see text] and [Formula: see text] are bounded below and above by their corresponding expressions when mixing is proportionate and isolated, respectively.
  • Subjects:
  • Source:
    J Math Biol. 77(6-7):1795-1831
  • Pubmed ID:
    29445854
  • Pubmed Central ID:
    PMC6092264
  • Document Type:
  • Funding:
  • Volume:
    77
  • Collection(s):
  • Main Document Checksum:
    urn:sha256:7c9d64763fec369b012a9666d544f00b428e5d9cf32575f0204cb2a2b6862350
  • Download URL:
  • File Type:
    Filetype[PDF - 1.73 MB ]
File Language:
English
ON THIS PAGE

CDC STACKS serves as an archival repository of CDC-published products including scientific findings, journal articles, guidelines, recommendations, or other public health information authored or co-authored by CDC or funded partners.

As a repository, CDC STACKS retains documents in their original published format to ensure public access to scientific information.