Effect of postnatal HIV treatment on clinical mastitis and breast inflammation in HIV-infected breastfeeding women
Supporting Files
-
3 2017
-
File Language:
English
Details
-
Alternative Title:Paediatr Perinat Epidemiol
-
Personal Author:
-
Corporate Authors:
-
Description:Background
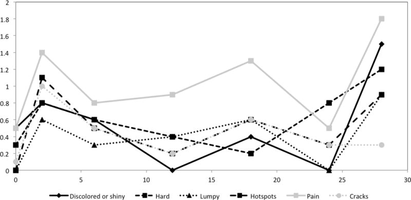
The relationship between mastitis and antiretroviral therapy among HIV-positive, breastfeeding women is unclear.
Methods
In the Breastfeeding, Antiretrovirals, and Nutrition (BAN) study, conducted in Lilongwe, Malawi, 2369 mother-infant pairs were randomized to a nutritional supplement group and to one of three treatment groups: maternal antiretroviral therapy (ART), infant nevirapine (NVP) or standard of care for 24 weeks of exclusive breastfeeding and 4 weeks of weaning. Among 1,472 HIV-infected women who delivered live infants between 2004 and 2007, we estimated cumulative incidence functions and sub-distribution hazard ratios (HR) of mastitis or breast inflammation comparing women in maternal ART (n=487) or infant nevirapine (n=492) groups to the standard of care (n=493). Nutritional supplement groups (743 took, 729 did not) were also compared.
Results
Through 28-weeks post-partum, 88 of 1472 women experienced at least one occurrence of mastitis or breast inflammation. The 28-week risk was higher for maternal ART (RD 4.5, 95% confidence interval (CI): 0.9, 8.1) and infant NVP (RD: 3.6, 95%CI: 0.9-6.9) compared to standard of care. The hazard of late-appearing mastitis or breast inflammation (from week 5-28) was also higher for maternal ART (HR: 6.7, 95%CI: 2.0, 22.6) and infant NVP (HR: 5.1, 95%CI: 1.5, 17. 5) compared to the standard of care.
Conclusions
Mastitis or breast inflammation while breastfeeding is a possible side effect for women taking prophylactic ART and women whose infants take NVP, warranting additional research in the context of postnatal HIV transmission.
-
Keywords:
-
Source:Paediatr Perinat Epidemiol. 31(2):134-143
-
Pubmed ID:28205255
-
Pubmed Central ID:PMC6029881
-
Document Type:
-
Funding:D43 TW001039/TW/FIC NIH HHSUnited States/ ; U48DP001944/ACL HHSUnited States/ ; DP2 HD084070/HD/NICHD NIH HHSUnited States/ ; R25 TW009340/TW/FIC NIH HHSUnited States/ ; R24 TW007988/TW/FIC NIH HHSUnited States/ ; U48DP001944/ACL HHS/ ; U48 DP001944/DP/NCCDPHP CDC HHSUnited States/ ; U48 DP000059/DP/NCCDPHP CDC HHSUnited States/ ; P30 AI050410/AI/NIAID NIH HHSUnited States/
-
Volume:31
-
Issue:2
-
Collection(s):
-
Main Document Checksum:urn:sha256:c4449811e475a8df75f5f50cfa29e22f4f01f6010b461451c8ae138b739efd59
-
Download URL:
-
File Type:
Supporting Files
File Language:
English
ON THIS PAGE
CDC STACKS serves as an archival repository of CDC-published products including
scientific findings,
journal articles, guidelines, recommendations, or other public health information authored or
co-authored by CDC or funded partners.
As a repository, CDC STACKS retains documents in their original published format to ensure public access to scientific information.
As a repository, CDC STACKS retains documents in their original published format to ensure public access to scientific information.
You May Also Like
COLLECTION
CDC Public Access