U.S. flag An official website of the United States government.
Official websites use .gov

A .gov website belongs to an official government organization in the United States.

Secure .gov websites use HTTPS

A lock ( ) or https:// means you've safely connected to the .gov website. Share sensitive information only on official, secure websites.

i

Assessment of a novel bile solubility test and MALDI-TOF for the differentiation of Streptococcus pneumoniae from other mitis group streptococci

Supporting Files Public Domain
File Language:
English


Details

  • Alternative Title:
    Sci Rep
  • Personal Author:
  • Description:
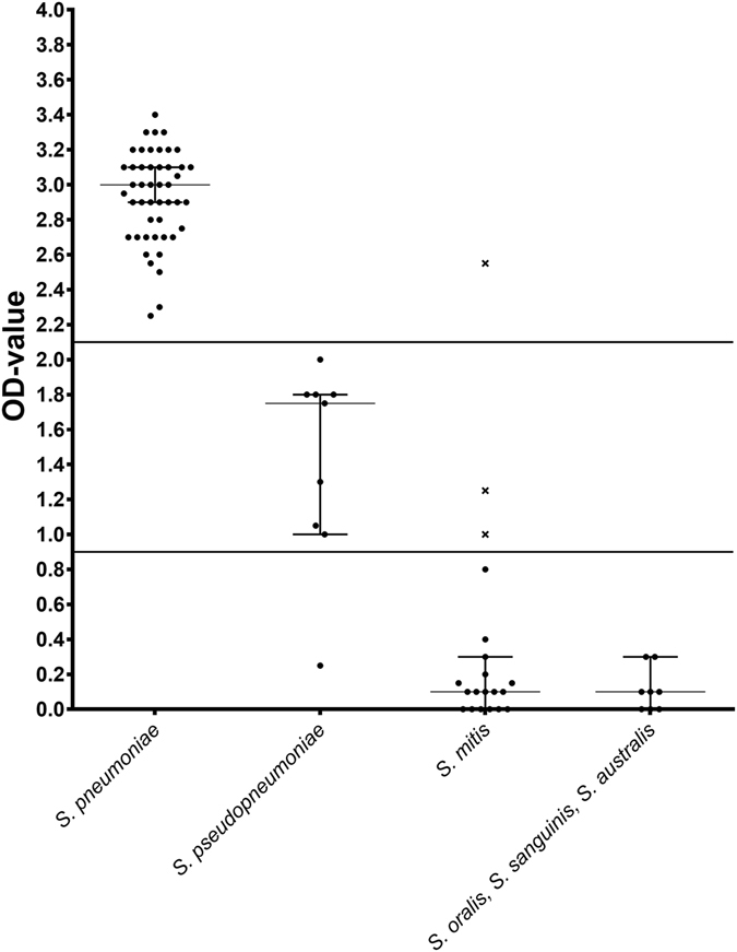
    This study assesses a novel bile solubility test and MALDI-TOF for the differentiation of Streptococcus pneumoniae from other mitis group streptococci, including differentiation of S. pneumoniae from Streptococcus pseudopneumoniae. Eighty-four species verified mitis group isolates were subjected to our bile solubility test (which measures and calculates the differences of absorbance in the test tube containing 10% sodium deoxycholate versus a blank control tube, after incubation for 10 minutes at 36 °C using a spectrophotometer) and MALDI-TOF MS (both the standard result output and by visual spectra evaluation). Applying a calculated optimal cut-off absorbance-value of 2.1, differentiated S. pneumoniae from all but one other mitis group streptococci (one S. mitis isolate generated an OD-value above 2.1). MALDI-TOF score value identification identified correctly 46 S. pneumoniae and 4 S. pseudopneumoniae but misidentified 16 other mitis group strains. Visual spectra evaluation correctly identified all S. pneumoniae and S. pseudopneumoniae strains but misidentified 13 other mitis group strains. The bile solubility test based on spectrophotometric reading described in this study can differentiate S. pneumoniae from other Streptococcus species. Combining the bile solubility test and the MALDI-TOF spectra results provide a correct identification of all S. pneumoniae and S. pseudopneumoniae isolates.
  • Subjects:
  • Source:
    Sci Rep. 7.
  • Pubmed ID:
    28769078
  • Pubmed Central ID:
    PMC5540920
  • Document Type:
  • Volume:
    7
  • Collection(s):
  • Main Document Checksum:
    urn:sha256:6ca230a13875726649df76afaa86d1903626df798ba0d3ae4e3253cec4fd6cee
  • Download URL:
  • File Type:
    Filetype[PDF - 1.17 MB ]
File Language:
English
ON THIS PAGE

CDC STACKS serves as an archival repository of CDC-published products including scientific findings, journal articles, guidelines, recommendations, or other public health information authored or co-authored by CDC or funded partners.

As a repository, CDC STACKS retains documents in their original published format to ensure public access to scientific information.