Novel Logistic Regression Model of Chest CT Attenuation Coefficient Distributions for the Automated Detection of Abnormal (Emphysema or ILD) versus Normal Lung
Supporting Files
-
Jan 08 2016
-
File Language:
English
Details
-
Alternative Title:Acad Radiol
-
Personal Author:
-
Description:Rationale and Objectives
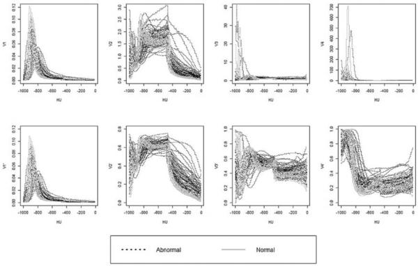
We evaluated the role of automated quantitative computed tomography (CT) scan interpretation algorithm in detecting Interstitial Lung Disease (ILD) and/or emphysema in a sample of elderly subjects with mild lung disease.ypothesized that the quantification and distributions of CT attenuation values on lung CT, over a subset of Hounsfield Units (HU) range [−1000 HU, 0 HU], can differentiate early or mild disease from normal lung.
Materials and Methods
We compared results of quantitative spiral rapid end-exhalation (functional residual capacity; FRC) and end-inhalation (total lung capacity; TLC) CT scan analyses in 52 subjects with radiographic evidence of mild fibrotic lung disease to 17 normal subjects. Several CT value distributions were explored, including (i) that from the peripheral lung taken at TLC (with peels at 15 or 65mm), (ii) the ratio of (i) to that from the core of lung, and (iii) the ratio of (ii) to its FRC counterpart. We developed a fused-lasso logistic regression model that can automatically identify sub-intervals of [−1000 HU, 0 HU] over which a CT value distribution provides optimal discrimination between abnormal and normal scans.
Results
The fused-lasso logistic regression model based on (ii) with 15 mm peel identified the relative frequency of CT values over [−1000, −900] and that over [−450,−200] HU as a means of discriminating abnormal versus normal, resulting in a zero out-sample false positive rate and 15%false negative rate of that was lowered to 12% by pooling information.
Conclusions
We demonstrated the potential usefulness of this novel quantitative imaging analysis method in discriminating ILD and/or emphysema from normal lungs.
-
Subjects:
-
Source:Acad Radiol. 23(3):304-314.
-
Pubmed ID:26776294
-
Pubmed Central ID:PMC4744594
-
Document Type:
-
Funding:T420H008491/PHS HHS/United States ; S10 OD018526/OD/NIH HHS/United States ; R01 HL112986/HL/NHLBI NIH HHS/United States ; P30 ES005605/ES/NIEHS NIH HHS/United States ; K23 HL114640/HL/NHLBI NIH HHS/United States ; 01HL112986/HL/NHLBI NIH HHS/United States ; U01 HL114494/HL/NHLBI NIH HHS/United States ; P30 ES05605/ES/NIEHS NIH HHS/United States ; P30 DK054759/DK/NIDDK NIH HHS/United States
-
Volume:23
-
Issue:3
-
Collection(s):
-
Main Document Checksum:urn:sha256:22b5f7b2ee6844e4f7395a63f3eafa11a3e72c1323c383d8fc5b2c49ba85db44
-
Download URL:
-
File Type:
Supporting Files
File Language:
English
ON THIS PAGE
CDC STACKS serves as an archival repository of CDC-published products including
scientific findings,
journal articles, guidelines, recommendations, or other public health information authored or
co-authored by CDC or funded partners.
As a repository, CDC STACKS retains documents in their original published format to ensure public access to scientific information.
As a repository, CDC STACKS retains documents in their original published format to ensure public access to scientific information.
You May Also Like
COLLECTION
CDC Public Access