Isolation of H5N6, H7N9 and H9N2 avian influenza A viruses from air sampled at live poultry markets in China, 2014 and 2015
Supporting Files
-
9 01 2016
File Language:
English
Details
-
Alternative Title:Euro Surveill
-
Personal Author:Zhou, J ; Wu, J ; Zeng, X ; Huang, G ; Zou, L ; Song, Y ; Gopinath, D ; Zhang, X ; Kang, M ; Lin, J ; Cowling, BJ ; Lindsley, WG ; Ke, C ; Peiris, JSM ; Yen, H
-
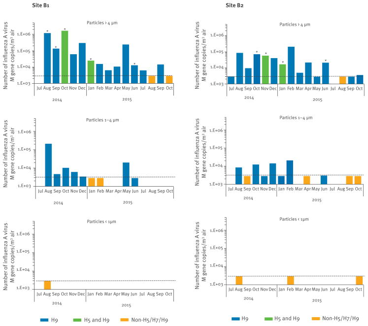
Description:Zoonotic infections by avian influenza viruses occur at the human-poultry interface, but the modes of transmission have not been fully investigated. We assessed the potential for airborne and fomite transmission at live poultry markets in Guangzhou city and in Hong Kong Special Administrative Region (SAR), China, during 2014 and 2015. Viral genome and infectious avian influenza A viruses of H5N6, H7N9, and H9N2 subtypes were detected predominantly from particles larger or equal to 1 μm in diameter in the air sampled with cyclone-based bioaerosol samplers at the live poultry markets in Guangzhou. Influenza A(H9N2) viruses were ubiquitously isolated every month during the study period from air and environmental swabs, and different lineages of H9N2 virus were isolated from markets where chickens and minor land-based poultry were sold. The use of de-feathering devices increased the quantity of virus-laden airborne particles while market closure reduced the amount of such particles. The results highlight the possibility of airborne transmission of avian influenza viruses among poultry or from poultry to humans within such settings. This may explain epidemiological observations in which some patients with H7N9 infection reported being in markets but no direct contact with live poultry or poultry stalls.
-
Subjects:
-
Source:Euro Surveill. 21(35)
-
Pubmed ID:27608369
-
Pubmed Central ID:PMC5015459
-
Document Type:
-
Funding:
-
Volume:21
-
Issue:35
-
Collection(s):
-
Main Document Checksum:urn:sha256:a573b459074ac1dec6363fcbd5181ed7f7dc383f4b6e9dbb21e702076d4606f1
-
Download URL:
-
File Type:
Supporting Files
File Language:
English
ON THIS PAGE
CDC STACKS serves as an archival repository of CDC-published products including
scientific findings,
journal articles, guidelines, recommendations, or other public health information authored or
co-authored by CDC or funded partners.
As a repository, CDC STACKS retains documents in their original published format to ensure public access to scientific information.
As a repository, CDC STACKS retains documents in their original published format to ensure public access to scientific information.
You May Also Like
COLLECTION
CDC Public Access