U.S. flag An official website of the United States government.
Official websites use .gov

A .gov website belongs to an official government organization in the United States.

Secure .gov websites use HTTPS

A lock ( ) or https:// means you've safely connected to the .gov website. Share sensitive information only on official, secure websites.

i

Analysis of the Constraint Joint Loading in the Thumb During Pipetting

Supporting Files


Details

  • Alternative Title:
    J Biomech Eng
  • Personal Author:
  • Description:
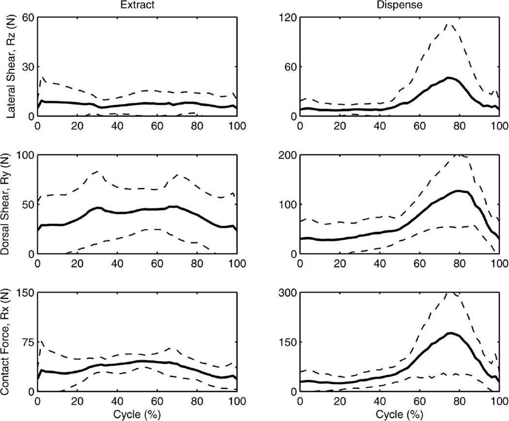
    Dynamic loading on articular joints is essential for the evaluation of the risk of the articulation degeneration associated with occupational activities. In the current study, we analyzed the dynamic constraint loading for the thumb during pipetting. The constraint loading is considered as the loading that has to be carried by the connective tissues of the joints (i.e., the cartilage layer and the ligaments) to maintain the kinematic constraints of the system. The joint loadings are solved using a classic free-body approach, using the external loading and muscle forces, which were obtained in an inverse dynamic approach combined with an optimization procedure in anybody. The constraint forces in the thumb joint obtained in the current study are compared with those obtained in the pinch and grasp tests in a previous study (Cooney and Chao, 1977, "Biomechanical Analysis of Static Forces in the Thumb During Hand Function," J. Bone Joint Surg. Am., 59(1), pp. 27-36). The maximal compression force during pipetting is approximately 83% and 60% greater than those obtained in the tip pinch and key pinch, respectively, while substantially smaller than that obtained during grasping. The maximal lateral shear force is approximately six times, 32 times, and 90% greater than those obtained in the tip pinch, key pinch, and grasp, respectively. The maximal dorsal shear force during pipetting is approximately 3.2 and 1.4 times greater than those obtained in the tip pinch and key pinch, respectively, while substantially smaller than that obtained during grasping. Our analysis indicated that the thumb joints are subjected to repetitive, intensive loading during pipetting, compared to other daily activities.
  • Subjects:
  • Source:
    J Biomech Eng. 137(8):084501.
  • Pubmed ID:
    25839321
  • Pubmed Central ID:
    PMC4782612
  • Document Type:
  • Funding:
  • Volume:
    137
  • Issue:
    8
  • Collection(s):
  • Main Document Checksum:
    urn:sha256:9581e3d5eceaf4f1c38c18f4bed6ceb701375ed8dd8863c54440cbec0bb8c839
  • Download URL:
  • File Type:
    Filetype[PDF - 4.02 MB ]
ON THIS PAGE

CDC STACKS serves as an archival repository of CDC-published products including scientific findings, journal articles, guidelines, recommendations, or other public health information authored or co-authored by CDC or funded partners.

As a repository, CDC STACKS retains documents in their original published format to ensure public access to scientific information.