Effects of acute inhalation of aerosols generated during resistance spot welding with mild-steel on pulmonary, vascular and immune responses in rats
Supporting Files
-
Aug 20 2014
-
Details
-
Journal Article:Inhal Toxicol
-
Personal Author:
-
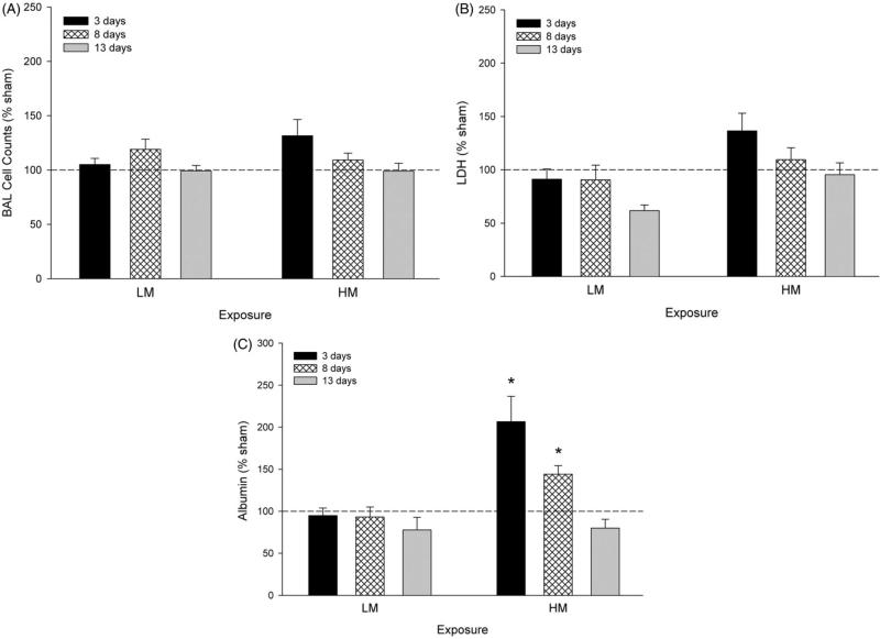
Description:Spot welding is used in the automotive and aircraft industries, where high-speed, repetitive welding is needed to join thin sections of metal. Epoxy adhesives are applied as sealers to the metal seams. Pulmonary function abnormalities and airway irritation have been reported in spot welders, but no animal toxicology studies exist. Therefore, the goal of this study was to investigate vascular, immune and lung toxicity measures after exposure to these metal fumes in an animal model. Male Sprague-Dawley rats were exposed by inhalation to 25 mg/m³ to either mild-steel spot welding aerosols with sparking (high metal, HM) or without sparking (low metal, LM) for 4 h/d for 3, 8 and 13 d. Shams were exposed to filtered air. Bronchoalveolar lavage (BAL), lung gene expression and ex vivo BAL cell challenge were performed to assess lung toxicity. Lung resistance (R(L)) was evaluated before and after challenge with inhaled methacholine (MCh). Functional assessment of the vascular endothelium in isolated rat tail arteries and leukocyte differentiation in the spleen and lymph nodes via flow cytometry was also done. Immediately after exposure, baseline R(L) was significantly elevated in the LM spot welding aerosols, but returned to control level by 24 h postexposure. Airway reactivity to MCh was unaffected. Lung inflammation and cytotoxicity were mild and transient. Lung epithelial permeability was significantly increased after 3 and 8 d, but not after 13 d of exposure to the HM aerosol. HM aerosols also caused vascular endothelial dysfunction and increased CD4+, CD8+ and B cells in the spleen. Only LM aerosols caused increased IL-6 and MCP-1 levels compared with sham after ex vivo LPS stimulation in BAL macrophages. Acute inhalation of mild-steel spot welding fumes at occupationally relevant concentrations may act as an irritant as evidenced by the increased R(L) and result in endothelial dysfunction, but otherwise had minor effects on the lung.
-
Subjects:
-
Source:Inhal Toxicol. 26(12):697-707.
-
Pubmed ID:25140454
-
Pubmed Central ID:PMC4708061
-
Document Type:
-
Funding:
-
Volume:26
-
Issue:12
-
Collection(s):
-
Main Document Checksum:urn:sha-512:f4b2c0d8383dbd08de96368386dd9ee9fc907133e5a9c9ca26e362b4539d65862af5210c06548a9125278cc31c6d68be66e65f3f7376b4f6e8276a9abea5d2bf
-
Download URL:
-
File Type:
Supporting Files
ON THIS PAGE
CDC STACKS serves as an archival repository of CDC-published products including
scientific findings,
journal articles, guidelines, recommendations, or other public health information authored or
co-authored by CDC or funded partners.
As a repository, CDC STACKS retains documents in their original published format to ensure public access to scientific information.
As a repository, CDC STACKS retains documents in their original published format to ensure public access to scientific information.
You May Also Like
COLLECTION
CDC Public Access