U.S. flag An official website of the United States government.
Official websites use .gov

A .gov website belongs to an official government organization in the United States.

Secure .gov websites use HTTPS

A lock ( ) or https:// means you've safely connected to the .gov website. Share sensitive information only on official, secure websites.

i

An overview of recommendations and translational milestones for genomic tests in cancer

Supporting Files


Details

  • Alternative Title:
    Genet Med
  • Personal Author:
  • Description:
    Purpose

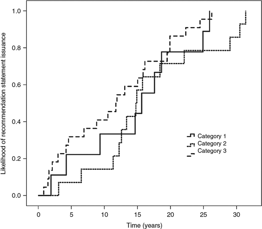
    To understand the translational trajectory of genomic tests in cancer screening, diagnosis, prognosis, and treatment, we reviewed tests that have been assessed by recommendation and guideline developers.

    Methods

    For each test, we marked translational milestones by determining when the genomic association with cancer was first discovered and studied in patients, and when a health application for a specified clinical use was successfully demonstrated and approved or cleared by the US Food and Drug Administration. To identify recommendations and guidelines, we reviewed the websites of cancer, genomic, and general guideline developers and professional organizations. We searched the in vitro diagnostics database of the US Food and Drug Administration for information, and we searched PubMed for translational milestones. Milestones were examined against type of recommendation, Food and Drug Administration approval or clearance, disease rarity, and test purpose.

    Results

    Of the 45 tests we identified, 9 received strong recommendations for their usage in clinical settings, 14 received positive but moderate recommendations, and 22 were not currently recommended. For 18 tests, two or more different sources had issued recommendations, with 67% concordance. Only five tests had Food and Drug Administration approval, and an additional five had clearance. The median time from discovery to recommendation statement was 14.7 years.

    Conclusion

    In general, there were no associations found between translational trajectory and recommendation category.

  • Subjects:
  • Source:
    Genet Med. 17(6):431-440.
  • Pubmed ID:
    25341115
  • Pubmed Central ID:
    PMC4686861
  • Document Type:
  • Funding:
  • Volume:
    17
  • Issue:
    6
  • Collection(s):
  • Main Document Checksum:
    urn:sha256:09ffbce1ed081e5bbc0e42a3b7e83666bea9694baa7011bc0b642197deb741df
  • Download URL:
  • File Type:
    Filetype[PDF - 857.71 KB ]
ON THIS PAGE

CDC STACKS serves as an archival repository of CDC-published products including scientific findings, journal articles, guidelines, recommendations, or other public health information authored or co-authored by CDC or funded partners.

As a repository, CDC STACKS retains documents in their original published format to ensure public access to scientific information.