U.S. flag An official website of the United States government.
Official websites use .gov

A .gov website belongs to an official government organization in the United States.

Secure .gov websites use HTTPS

A lock ( ) or https:// means you've safely connected to the .gov website. Share sensitive information only on official, secure websites.

i

Outbreaks Associated with Cantaloupe, Watermelon, and Honeydew in the United States, 1973–2011

Supporting Files
File Language:
English


Details

  • Alternative Title:
    Foodborne Pathog Dis
  • Personal Author:
  • Description:
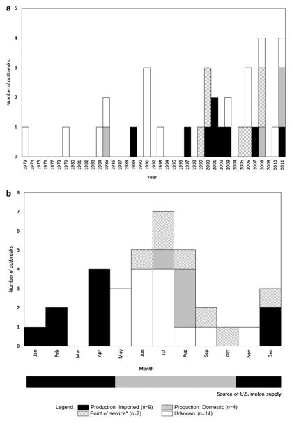
    Fresh fruits and vegetables are an important part of a healthy diet. Melons have been associated with enteric infections. We reviewed outbreaks reported to the Centers for Disease Control and Prevention's Foodborne Disease Outbreak Surveillance System during 1973-2011 in which the implicated food was a single melon type. We also reviewed published literature and records obtained from investigating agencies. During 1973-2011, 34 outbreaks caused by a single melon type were reported, resulting in 3602 illnesses, 322 hospitalizations, 46 deaths, and 3 fetal losses. Cantaloupes accounted for 19 outbreaks (56%), followed by watermelons (13, 38%) and honeydew (2, 6%). Melon-associated outbreaks increased from 0.5 outbreaks per year during 1973-1991 to 1.3 during 1992-2011. Salmonella was the most common etiology reported (19, 56%), followed by norovirus (5, 15%). Among 13 outbreaks with information available, melons imported from Mexico and Central America were implicated in 9 outbreaks (69%) and domestically grown melons were implicated in 4 outbreaks (31%). The point of contamination was known for 20 outbreaks; contamination occurred most commonly during growth, harvesting, processing, or packaging (13, 65%). Preventive measures focused on reducing bacterial contamination of melons both domestically and internationally could decrease the number and severity of melon-associated outbreaks.
  • Subjects:
  • Source:
    Foodborne Pathog Dis. 11(12):945-952
  • Pubmed ID:
    25407556
  • Pubmed Central ID:
    PMC4627691
  • Document Type:
  • Funding:
  • Volume:
    11
  • Issue:
    12
  • Collection(s):
  • Main Document Checksum:
    urn:sha256:9de0b47c94343d1cadb02fd44731251aeaa4f116f4f9b3660e139d7a226f4944
  • Download URL:
  • File Type:
    Filetype[PDF - 405.75 KB ]
File Language:
English
ON THIS PAGE

CDC STACKS serves as an archival repository of CDC-published products including scientific findings, journal articles, guidelines, recommendations, or other public health information authored or co-authored by CDC or funded partners.

As a repository, CDC STACKS retains documents in their original published format to ensure public access to scientific information.