U.S. flag An official website of the United States government.
Official websites use .gov

A .gov website belongs to an official government organization in the United States.

Secure .gov websites use HTTPS

A lock ( ) or https:// means you've safely connected to the .gov website. Share sensitive information only on official, secure websites.

i

Urinary Albumin-Creatinine Ratio, Estimated Glomerular Filtration Rate, and All-Cause Mortality Among US Adults With Obstructive Lung Function

Supporting Files
File Language:
English


Details

  • Alternative Title:
    Chest
  • Personal Author:
  • Description:
    BACKGROUND

    Elevated urinary albumin-creatinine ratio (UACR) and decreased estimated glomerular filtration rate (eGFR) predict all-cause mortality, but whether these markers of kidney damage and function do so in adults with obstructive lung function (OLF) is unclear. The objective of this study was to examine the associations between UACR and eGFR and all-cause mortality in adults with OLF.

    METHODS

    Data of 5,711 US adults aged 40 to 79 years, including 1,390 adults with any OLF who participated in the National Health and Nutrition Examination Survey III (1988–1994), were analyzed. Mortality follow-up was conducted through 2006.

    RESULTS

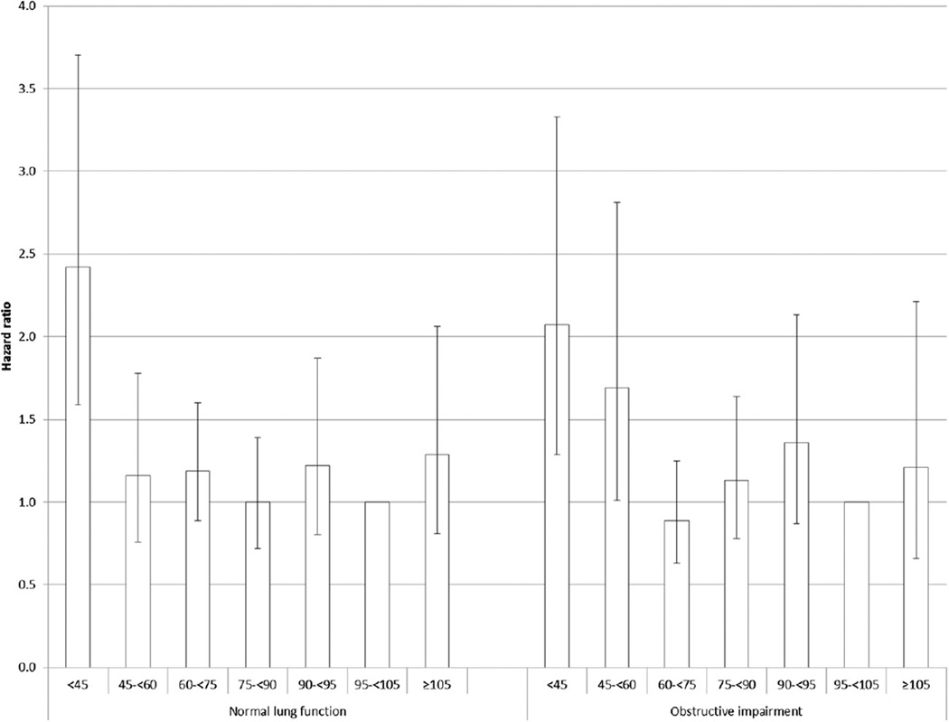
    During the median follow-up of 13.7 years, 650 adults with OLF died. After maximal adjustment, mean levels of UACR were higher in adults with moderate-severe OLF (7.5 mg/g; 95% CI, 6.7–8.5) than in adults with normal pulmonary function (6.2 mg/g; 95% CI, 5.8–6.6) (P = .003) and mild OLF (6.2 mg/g; 95% CI, 5.5–6.9) (P = .014). Adjusted mean levels of eGFR were lower in adults with moderate-severe OLF (87.6 mL/min/1.73 m2; < 95% CI, 86.0–89.1) than in adults with normal lung function (89.6 mL/min/1.73 m2; < 95% CI, 88.9–90.3) (P = .015). Among adults with OLF, hazard ratios for all-cause mortality increased as levels of UACR, modeled as categorical or continuous variables, increased (maximally adjusted hazard ratio for quintile 5 vs 1: 2.23; 95% CI, 1.56–3.18). eGFR, modeled as a continuous variable but not as quintiles, was significantly associated with mortality.

    CONCLUSIONS

    UACR and eGFR, in continuous form, were associated with all-cause mortality among US adults with OLF.

  • Subjects:
  • Source:
    Chest. 147(1):56-67.
  • Pubmed ID:
    25079336
  • Pubmed Central ID:
    PMC4580968
  • Document Type:
  • Funding:
  • Place as Subject:
  • Volume:
    147
  • Issue:
    1
  • Collection(s):
  • Main Document Checksum:
    urn:sha256:ca449fb6eece78e8d66dd9ce90ad3dc964e46583dee992f63bb380bc46fedc9c
  • Download URL:
  • File Type:
    Filetype[PDF - 1.42 MB ]
File Language:
English
ON THIS PAGE

CDC STACKS serves as an archival repository of CDC-published products including scientific findings, journal articles, guidelines, recommendations, or other public health information authored or co-authored by CDC or funded partners.

As a repository, CDC STACKS retains documents in their original published format to ensure public access to scientific information.