U.S. flag An official website of the United States government.
Official websites use .gov

A .gov website belongs to an official government organization in the United States.

Secure .gov websites use HTTPS

A lock ( ) or https:// means you've safely connected to the .gov website. Share sensitive information only on official, secure websites.

i

Food Insecurity and Effectiveness of Behavioral Interventions to Reduce Blood Pressure, New York City, 2012–2013

Supporting Files Public Domain
File Language:
English


Details

  • Journal Article:
    Preventing Chronic Disease (PCD)
  • Personal Author:
  • Description:
    Introduction

    Food insecurity is associated with diet-sensitive diseases and may be a barrier to successful chronic disease self-management. To evaluate the impact of food insecurity on blood pressure reduction in a pilot clinical trial, we tested the effectiveness of 2 behavioral interventions for hypertension in people with and without food security.

    Methods

    A group of 28 men and women with type 2 diabetes and uncontrolled hypertension were randomized to either 1) home blood pressure telemonitoring alone or 2) home blood pressure telemonitoring plus telephone-based nurse case management. The primary outcome was 6-month change in systolic blood pressure.

    Results

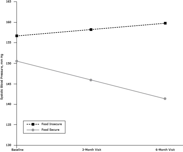
    The 2 interventions resulted in modest, nonsignificant blood pressure reductions. Food-secure patients experienced clinically and statistically significant reductions in blood pressure, whereas no significant change was seen among food-insecure patients.

    Conclusion

    Screening for food insecurity may help identify patients in need of tailored disease management interventions.

  • Subjects:
  • Source:
    Prev Chronic Dis. 12.
  • DOI:
  • ISSN:
    1545-1151
  • Document Type:
  • Volume:
    12
  • Collection(s):
  • Main Document Checksum:
    urn:sha-512:2f34142029b391724d1cf2fc7a20b901edbfe21eb69e756056626f3a466648b6a249ca0317a04f8470c38321ae9da17754f6fd2c8339a9e30fce1745b43234b2
  • Download URL:
  • File Type:
    Filetype[PDF - 257.10 KB ]
File Language:
English
ON THIS PAGE

CDC STACKS serves as an archival repository of CDC-published products including scientific findings, journal articles, guidelines, recommendations, or other public health information authored or co-authored by CDC or funded partners.

As a repository, CDC STACKS retains documents in their original published format to ensure public access to scientific information.