U.S. flag An official website of the United States government.
Official websites use .gov

A .gov website belongs to an official government organization in the United States.

Secure .gov websites use HTTPS

A lock ( ) or https:// means you've safely connected to the .gov website. Share sensitive information only on official, secure websites.

i

Volitional Weight-Lifting in Rats Promotes Adaptation via Performance and Muscle Morphology prior to Gains in Muscle Mass

Supporting Files Public Domain


Details

  • Alternative Title:
    Environ Health Insights
  • Personal Author:
  • Description:
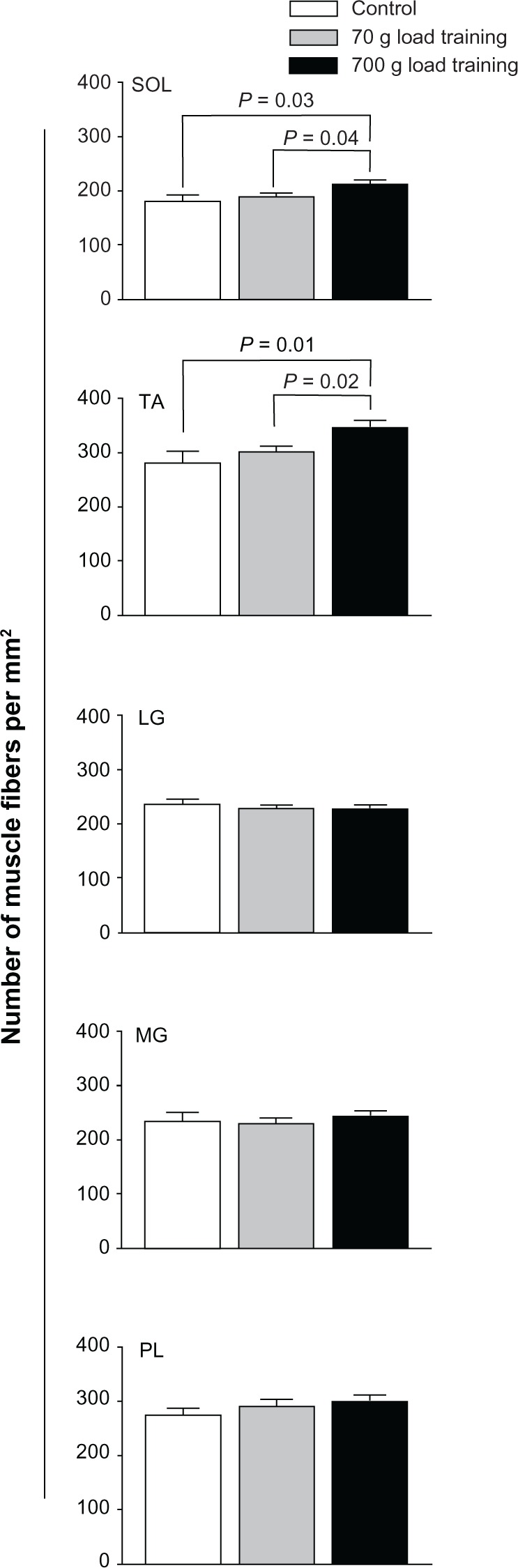
    Investigation of volitional animal models of resistance training has been instrumental in our understanding of adaptive training. However, these studies have lacked reactive force measurements, a precise performance measure, and morphological analysis at a distinct phase of training - when initial strength gains precede muscle hypertrophy. Our aim was to expose rats to one month of training (70 or 700 g load) on a custom-designed weight-lifting apparatus for analysis of reactive forces and muscle morphology prior to muscle hypertrophy. Exclusively following 700 g load training, forces increased by 21% whereas muscle masses remained unaltered. For soleus (SOL) and tibialis anterior (TA) muscles, 700 g load training increased muscle fiber number per unit area by ∼20% and decreased muscle fiber area by ∼20%. Additionally, number of muscle fibers per section increased by 18% for SOL muscles. These results establish that distinct morphological alterations accompany early strength gains in a volitional animal model of load-dependent adaptive resistance training.
  • Subjects:
  • Source:
    Environ Health Insights. 2014; 8(Suppl 1):1-9.
  • Document Type:
  • Volume:
    8
  • Collection(s):
  • Main Document Checksum:
    urn:sha256:ff4982b045955fae7255293c6145d2ea8da6ae5c023a0b9a55393b64eca92e03
  • Download URL:
  • File Type:
    Filetype[PDF - 1.71 MB ]
ON THIS PAGE

CDC STACKS serves as an archival repository of CDC-published products including scientific findings, journal articles, guidelines, recommendations, or other public health information authored or co-authored by CDC or funded partners.

As a repository, CDC STACKS retains documents in their original published format to ensure public access to scientific information.