Manhattan Vision Screening and Follow-Up Study (NYC-SIGHT): optometric exam improves access and utilization of eye care services
Supporting Files
-
5-2024
-
File Language:
English
Details
-
Alternative Title:Graefes Arch Clin Exp Ophthalmol
-
Personal Author:
-
Description:Purpose
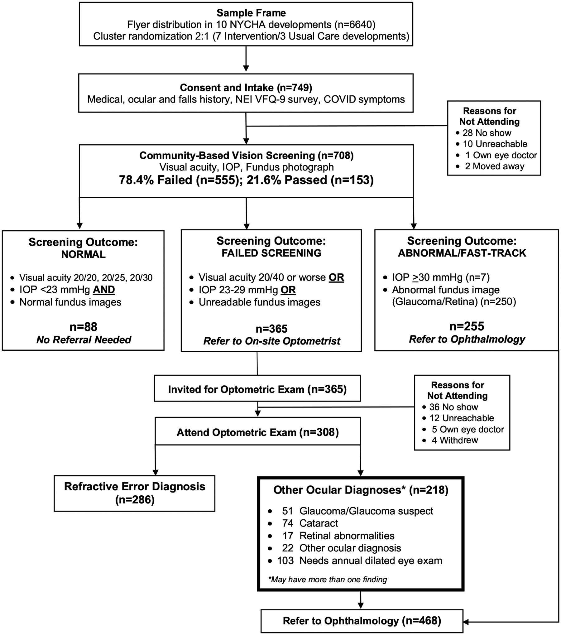
To describe the benefits of optometric evaluation for detection of vision-affecting conditions in the context of community-based eye health screenings and identify factors associated with having a recent dilated eye exam.
Methods
Enrolled participants were age 40 and older, living independently in affordable housing developments in New York City. Eye health screening failure and criteria for seeing the on-site study optometrist were defined as visual acuity 20/40 or worse in either eye, intraocular pressure 23–29 mmHg, or an unreadable fundus image. The optometrist conducted a manifest refraction using loose lenses and used a portable slit lamp and ophthalmoscope to perform a non-dilated anterior and posterior segment ocular health evaluation. Demographics, social determinants of health, eye health screening results, and rates of suspected ophthalmic conditions were recorded. To determine factors associated with having a recent dilated eye exam, which was the main outcome for this statistical analysis, a stepwise multivariate logistic regression was performed.
Results
A total of 708 participants were screened, 308 attended the optometric exam; mean age 70.7 ± 11.7 [standard deviation (SD)] years. Among this subgroup, 70.1% identified as female, 54.9% self-identified as African American, 39% as Hispanic/Latino, and 26.6% Dominican ethnicity; 78.2% (241/308) had not undergone a dilated eye exam within the last year, 71.4% reported they did not have an eye care provider. Stepwise multivariate logistic regression analysis indicated that participants who self-reported having cataracts (odds ratio (OR) 2.15; 95% confidence interval (CI) 1.03–4.47; p = 0.041), self-reported having glaucoma/glaucoma suspect (OR 5.60; 95% CI 2.02–15.43; p = 0.001), or spoke Spanish as their primary language (OR 3.25; 95% CI 1.48–7.11; p = 0.003) had higher odds of having a recent dilated eye exam.
Conclusions
This community-based screening initiative demonstrated the effectiveness of optometric exams in detecting vision-affecting conditions and identified factors associated with having a recent dilated eye exam. Optometrists play a vital role in increasing access to eye care for high-risk, underserved populations.
Trial registration
ClinicalTrials.gov (NCT04271709).
-
Subjects:
-
Keywords:
-
Source:Graefes Arch Clin Exp Ophthalmol. 262(5):1619-1631
-
DOI:
-
Pubmed ID:38189973
-
Pubmed Central ID:PMC11748831
-
Document Type:
-
Funding:
-
Volume:262
-
Issue:5
-
Collection(s):
-
Main Document Checksum:urn:sha-512:b732923a99b177498a011c79fda7c166b5a5475dfea1db0cb0f355e85b3cef15f6f51e68bafeed0b2446843e34207788c8f5c0719439ee99e64f04593c2a983e
-
Download URL:
-
File Type:
Supporting Files
File Language:
English
ON THIS PAGE
CDC STACKS serves as an archival repository of CDC-published products including
scientific findings,
journal articles, guidelines, recommendations, or other public health information authored or
co-authored by CDC or funded partners.
As a repository, CDC STACKS retains documents in their original published format to ensure public access to scientific information.
As a repository, CDC STACKS retains documents in their original published format to ensure public access to scientific information.
You May Also Like
COLLECTION
CDC Public Access