U.S. flag An official website of the United States government.
Official websites use .gov

A .gov website belongs to an official government organization in the United States.

Secure .gov websites use HTTPS

A lock ( ) or https:// means you've safely connected to the .gov website. Share sensitive information only on official, secure websites.

Association between World Trade Center disaster exposures and body mass index in community members enrolled at World Trade Center Environmental Health Center

File Language:
English


Public Access Version Available on: January 15, 2026, 12:00 AM
Please check back on the date listed above.

Details

  • Alternative Title:
    Environ Pollut
  • Personal Author:
  • Description:
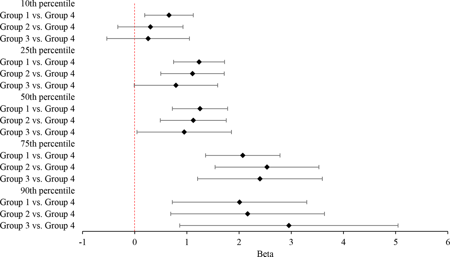
    Studies suggest that environmental disasters have a big impact on population health conditions including metabolic risk factors, such as obesity and hypertension. The World Trade Center (WTC) destruction from the 9/11 terrorist attack resulted in environmental exposures to community members (Survivors) with potential for metabolic effects. We now examine the impact of WTC exposure on Body Mass Index (BMI) using the data from 7136 adult participants enrolled in the WTC Environmental Health Center (EHC) from August 1, 2005, to December 31, 2022. We characterized WTC-related exposures by multiple approaches including acute dust-cloud exposure, occupational or residential exposures, and latent exposure patterns identified by synthesizing multiplex exposure questions using latent class analysis. Employing multivariable linear and quantile regressions for continuous BMI and ordered logistic regression for BMI categories, we found significant associations of BMI with WTC exposure categories or latent exposure patterns. For example, using exposure categories, compared to the group of local residents, local workers exhibited an average BMI increase of 1.71 kg/m| with 95% confidence intervals (CI) of (1.33, 2.09), the rescue/recovery group had an increase of 3.13 kg/m| (95% CI: 2.18, 4.08), the clean-up worker group had an increase of 0.75 kg/m| (95% CI: 0.09, 1.40), and the other mixer group had an increase of 1.01 kg/m| (95% CI: 0.43, 1.58). Furthermore, quantile regression analysis demonstrated that WTC exposures adversely affected the entire distribution of BMI in the WTC EHC Survivors, not merely the average. Our analysis also extended to blood pressure and hypertension, demonstrating statistically significant associations with WTC exposures. These outcomes highlight the intricate connection between WTC exposures and metabolic risk factors including BMI and blood pressure in the WTC Survivor population.
  • Subjects:
  • Keywords:
  • Source:
    Environ Pollut. 365:125414
  • Pubmed ID:
    39615564
  • Pubmed Central ID:
    PMC11634636
  • Document Type:
  • Funding:
  • Volume:
    365
  • Collection(s):
  • Main Document Checksum:
    urn:sha-512:a0ec7d4c7a599d79141ecc3cabde0f4c35736f124d9327e963d63fcae0c0a201f6d8f707b8ec9009ea5d1795aeb0b429e4a38dddeec4432404e3f1e9f8acc2b7
  • File Type:
File Language:
English
ON THIS PAGE

CDC STACKS serves as an archival repository of CDC-published products including scientific findings, journal articles, guidelines, recommendations, or other public health information authored or co-authored by CDC or funded partners.

As a repository, CDC STACKS retains documents in their original published format to ensure public access to scientific information.