U.S. flag An official website of the United States government.
Official websites use .gov

A .gov website belongs to an official government organization in the United States.

Secure .gov websites use HTTPS

A lock ( ) or https:// means you've safely connected to the .gov website. Share sensitive information only on official, secure websites.

i

Disparities in salmonellosis incidence for US counties with different social determinants of health profiles are also mediated by extreme weather: a counterfactual analysis of Laboratory Enteric Disease Surveillance (LEDS) data from 1997–2019

Supporting Files
File Language:
English


Details

  • Alternative Title:
    J Food Prot
  • Personal Author:
  • Description:
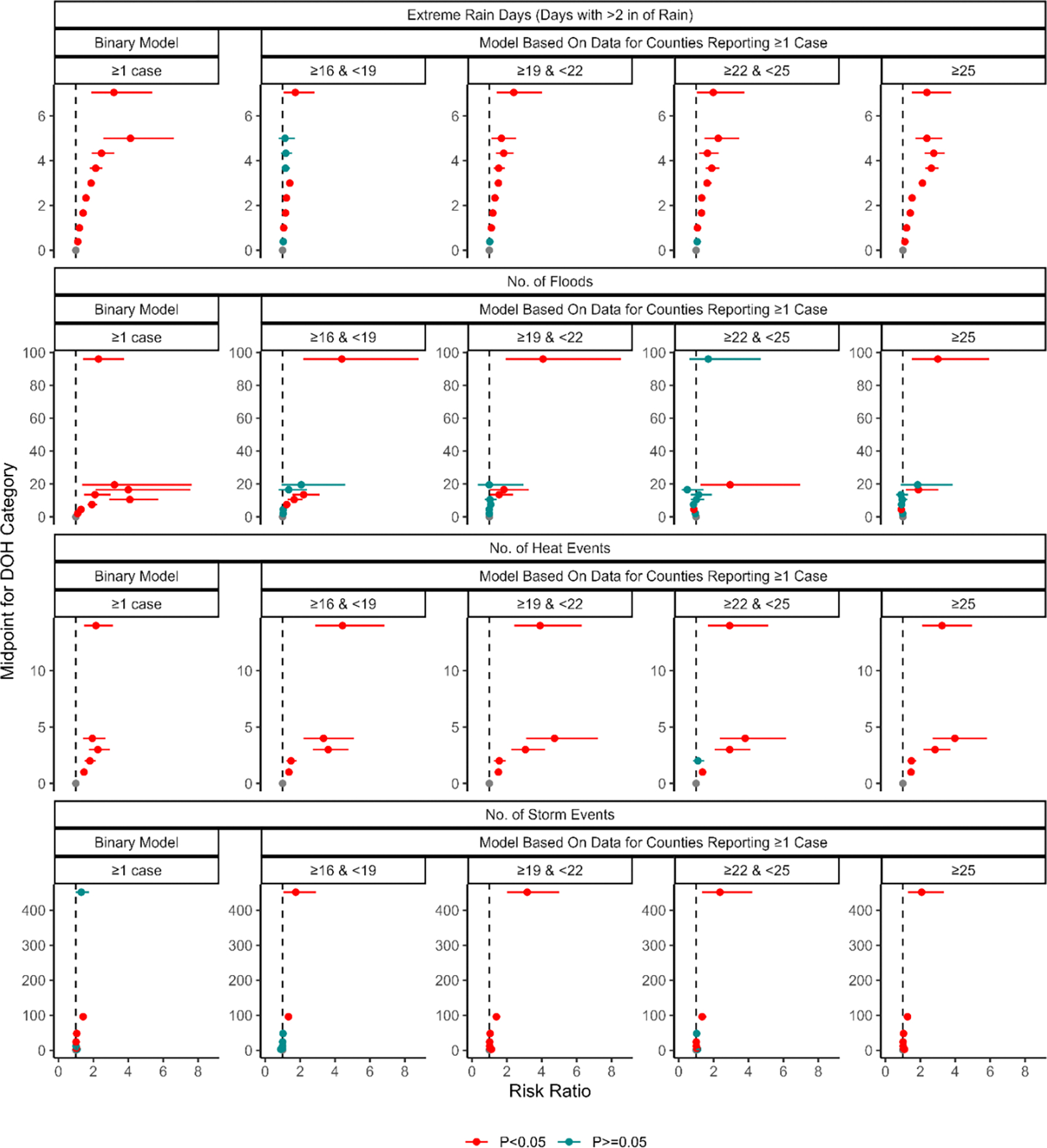
    Understanding disparities in salmonellosis burden is critical for developing effective, equitable prevention programs. Past efforts to characterize disparities were limited in scope and by the analytical methods available when the study was conducted. We aim to address this gap by identifying disparities in salmonellosis incidence between counties with different determinants of health (DOH) profiles. Using national U.S. Laboratory-based Enteric Disease Surveillance (LEDS) data for 1997-2019, age-adjusted county-level salmonellosis incidence/100,000 persons was calculated and linked to publicly available DOH data. We used hurdle counterfactual random forest (CFRF) to quantify, for each DOH, the risk that (i) ≥1 versus no cases were reported by a county, and (ii) when ≥1 case was reported, whether a high (≥16 cases/100,000 persons) or low incidence (≥1 & <4 cases/100,000 persons) was reported. Risk in both models was significantly associated with demographic DOH, suggesting a disparity between counties with different demographic profiles. Risk was also significantly associated with food, healthcare, physical, and socioeconomic environment. The risk was generally greater for counties with more negative food resources, and for under-resourced counties (e.g., fewer healthcare and social services, fewer grocery stores). Risk was also significantly higher if any extreme weather event occurred. The study also found that underreporting and underascertainment appeared to result in underestimation of salmonellosis incidence in economically marginalized and under-resourced communities. Overall, our analyses indicated that, regardless of other county characteristics, extreme weather was associated with increased salmonellosis incidence, and that certain communities were differentially disadvantaged toward a higher incidence. This information can facilitate the development of community-specific prevention efforts.
  • Subjects:
  • Keywords:
  • Source:
    J Food Prot. 87(12):100379 ; J Food Prot. 87(12):100379
  • Pubmed ID:
    39414235
  • Pubmed Central ID:
    PMC11620915
  • Document Type:
  • Funding:
  • Volume:
    87
  • Issue:
    12
  • Collection(s):
  • Main Document Checksum:
    urn:sha-512:59982c969c7af133107b0375acd6bf900039c90b1391766fe5b1b71cca188c3dd2896c5a51ee25e4dac787bf34f1e0603dbfd354db633fe506cec55d53e721e5
  • Download URL:
  • File Type:
    Filetype[PDF - 1.26 MB ]
File Language:
English
ON THIS PAGE

CDC STACKS serves as an archival repository of CDC-published products including scientific findings, journal articles, guidelines, recommendations, or other public health information authored or co-authored by CDC or funded partners.

As a repository, CDC STACKS retains documents in their original published format to ensure public access to scientific information.