U.S. flag An official website of the United States government.
Official websites use .gov

A .gov website belongs to an official government organization in the United States.

Secure .gov websites use HTTPS

A lock ( ) or https:// means you've safely connected to the .gov website. Share sensitive information only on official, secure websites.

i

Human Papillomavirus Vaccine Impact and Effectiveness Through 12 Years After Vaccine Introduction in the United States, 2003 to 2018

Supporting Files
File Language:
English


Details

  • Alternative Title:
    Ann Intern Med
  • Personal Author:
  • Description:
    Background:

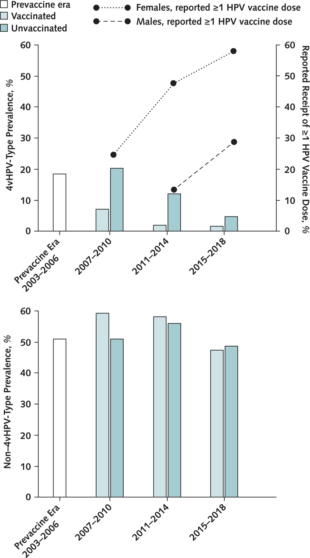
    Human papillomavirus (HPV) vaccination was introduced in 2006 for females and in 2011 for males.

    Objective:

    To estimate vaccine impact and effectiveness against quadrivalent HPV vaccine (4vHPV)–type prevalent infection among sexually experienced U.S. females and vaccine effectiveness for sexually experienced U.S. males.

    Design:

    NHANES (National Health and Nutrition Examination Survey) conducted in 2003 to 2006 (prevaccine era) and in 2007 to 2010, 2011 to 2014, and 2015 to 2018 (vaccine eras).

    Setting:

    Nationally representative U.S. surveys.

    Participants:

    Sexually experienced participants aged 14 to 24 years.

    Intervention:

    U.S. HPV vaccination program.

    Measurements:

    Participant-collected cervicovaginal and penile specimens were tested for HPV DNA. The prevalences of 4vHPV and non-4vHPV types were estimated in each era for females and in 2013 to 2016 for males. Prevalences among the female population overall, vaccinated females, and unvaccinated females were compared in vaccine eras versus the prevaccine era (vaccine impact). Within each vaccine era, prevalence among vaccinated females was compared with that among unvaccinated females (vaccine effectiveness). Vaccine impact and effectiveness were estimated as (1 – prevalence ratio) · 100.

    Results:

    Among sexually experienced females aged 14 to 24 years, the impact on 4vHPV-type prevalence in 2015 to 2018 was 85% overall, 90% among vaccinated females, and 74% among unvaccinated females. No significant declines were found in non–4vHPV-type prevalence. Vaccine effectiveness ranged from 60% to 84% during vaccine eras for females and was 51% during 2013 to 2016 for males.

    Limitation:

    Self- or parent-reported vaccination history and small numbers in certain subgroups limited precision.

    Conclusion:

    Nationally representative data show increasing impact of the vaccination program and herd protection. Vaccine effectiveness estimates will be increasingly affected by herd effects.

    Primary Funding Source:

    Centers for Disease Control and Prevention.

  • Subjects:
  • Source:
    Ann Intern Med. 175(7):918-926
  • Pubmed ID:
    35576590
  • Pubmed Central ID:
    PMC11614147
  • Document Type:
  • Funding:
  • Volume:
    175
  • Issue:
    7
  • Collection(s):
  • Main Document Checksum:
    urn:sha-512:ae9360b7e0f8682654cc824e1fdd257daf88f1d5dbe67581893c3f1fdfe42825045ec2f1dc55eff3fa4c943ea27fa8564ee7a579ad7dab58cb8e92628918847c
  • Download URL:
  • File Type:
    Filetype[PDF - 826.33 KB ]
File Language:
English
ON THIS PAGE

CDC STACKS serves as an archival repository of CDC-published products including scientific findings, journal articles, guidelines, recommendations, or other public health information authored or co-authored by CDC or funded partners.

As a repository, CDC STACKS retains documents in their original published format to ensure public access to scientific information.