Association of continuous body mass index with health-related quality of life in the United States by age and sex
Supporting Files
-
11 2024
-
File Language:
English
Details
-
Alternative Title:Obesity (Silver Spring)
-
Personal Author:
-
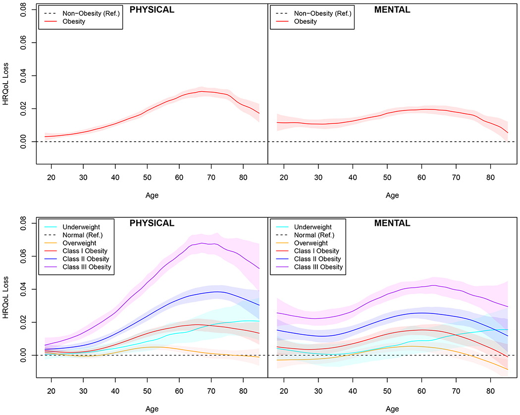
Description:Objective:
To estimate health-related quality of life (HRQoL) utilities by continuous BMI by age, sex, and demographic group in the US.
Methods:
We estimated HRQoL (overall and by domain) by continuous BMI using SF-6D data from 182,778 respondents ages 18 and older from the repeated cross-sectional Medical Expenditure Panel Survey (MEPS) 2008-2016. We adjusted for BMI self-report bias for potential confounding between BMI and HRQoL.
Results:
We found an inverse J-shaped curve of HRQoL by BMI, with lower values for females and the highest utilities occurring at a BMI of 20.4 (95% CI 20.32-20.48) for females and 26.5 (95% CI 26.45-26.55) for males. By BMI category, excess weight contributed to HRQoL utility loss of 0.0349 for obesity overall, rising to 0.0724 for Class III obesity. By domain, Pain was the largest cause of HRQoL loss for obesity (26%), followed by Role Limitations (22%).
Conclusions:
Health-related quality of life is lower for people with excess body weight across a broad range of ages and BMI levels, especially at high levels of BMI, with Pain the largest driver of HRQoL loss. These findings highlight the importance of promoting a healthy weight for the entire population while also targeting efforts to prevent extreme weight gain over the life course.
-
Subjects:
-
Keywords:
-
Source:Obesity (Silver Spring). 32(11):2198-2206
-
Pubmed ID:39370765
-
Pubmed Central ID:PMC11537809
-
Document Type:
-
Funding:
-
Volume:32
-
Issue:11
-
Collection(s):
-
Main Document Checksum:urn:sha-512:6a1306c9df99b1479cc480344fefbe56a276483c8a9d86c1223220313858c076ca9008342a66594b96365baff541aefba2e41481c47a7e139bf8e4d26855167a
-
Download URL:
-
File Type:
Supporting Files
File Language:
English
ON THIS PAGE
CDC STACKS serves as an archival repository of CDC-published products including
scientific findings,
journal articles, guidelines, recommendations, or other public health information authored or
co-authored by CDC or funded partners.
As a repository, CDC STACKS retains documents in their original published format to ensure public access to scientific information.
As a repository, CDC STACKS retains documents in their original published format to ensure public access to scientific information.
You May Also Like
COLLECTION
CDC Public Access