U.S. flag An official website of the United States government.
Official websites use .gov

A .gov website belongs to an official government organization in the United States.

Secure .gov websites use HTTPS

A lock ( ) or https:// means you've safely connected to the .gov website. Share sensitive information only on official, secure websites.

i

Shoulder-assist exoskeleton effects on balance and muscle activity during a block-laying task on a simulated mast climber

Supporting Files
File Language:
English


Details

  • Alternative Title:
    Int J Ind Ergon
  • Personal Author:
  • Description:
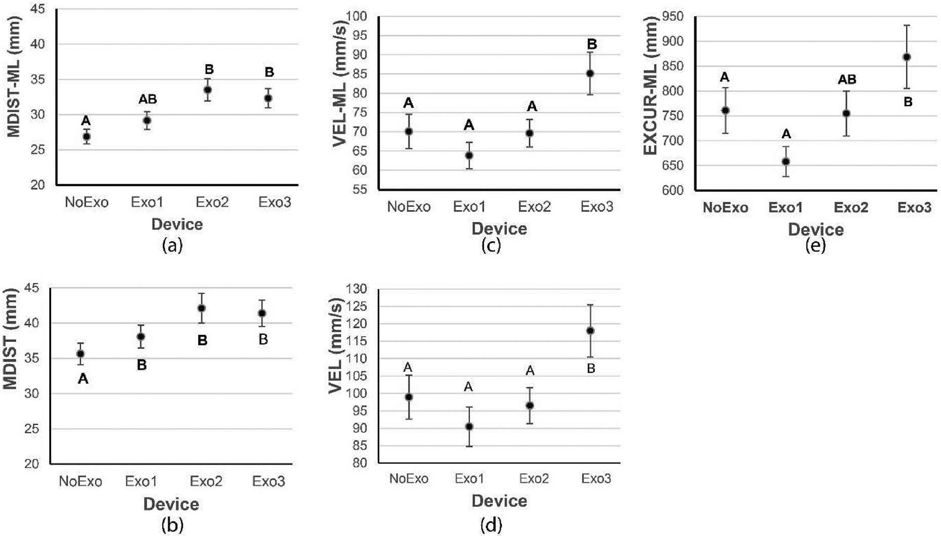
    Interest in utilizing exoskeletons to mitigate the risks of musculoskeletal disorders (MSDs) among construction workers is growing, spurred by encouraging results in other industries. However, it is crucial to carefully examine their impact on workers' stability and balance before implementation. In this study, seven male participants lifted a 35-lb cinder block from a production table to a simulated wall at two heights-elbow and shoulder levels-using three different exoskeleton models on an unstable platform, where their balance and shoulder muscle activity were assessed. Balance-related parameters, included mean distance (MDIST), total excursion (EXCUR), and mean velocity (VEL) of the center of pressure, were derived from force plate data. Muscle activity in six shoulder and upper arm muscles was estimated using electromyography (EMG) data. The results indicated that wearing two of the exoskeletons significantly increased both total and medio-lateral (ML) MDIST compared to not wearing an exoskeleton. Wearing one of the exoskeletons significantly increased total and ML VEL and ML EXCUR. Although lifting level did not have a significant impact on the balance parameters, it did affect the muscle activity in most of the measured muscles. Moreover, only one exoskeleton significantly reduced the activity in a particular shoulder muscle compared to no exoskeleton use. In conclusion, the evaluated shoulder-assist exoskeletons showed limited benefits for preventing upper extremity MSDs and may negatively affect whole-body balance during a block-laying task on an unstable platform. These findings underscore the importance of comprehensive evaluations of balance and effectiveness prior to adopting exoskeletons in construction.
  • Keywords:
  • Source:
    Int J Ind Ergon. 104
  • Pubmed ID:
    39449710
  • Pubmed Central ID:
    PMC11497863
  • Document Type:
  • Funding:
  • Volume:
    104
  • Collection(s):
  • Main Document Checksum:
    urn:sha-512:4418d8ac5b4f4cff30b4fd51ede2bd49e67b315c56bce289ae3b6f221faaafd0ff9af90042b290fbb2140d33487ab7b16fff36b52d7c7e924f7df18d4659c189
  • Download URL:
  • File Type:
    Filetype[PDF - 1.07 MB ]
File Language:
English
ON THIS PAGE

CDC STACKS serves as an archival repository of CDC-published products including scientific findings, journal articles, guidelines, recommendations, or other public health information authored or co-authored by CDC or funded partners.

As a repository, CDC STACKS retains documents in their original published format to ensure public access to scientific information.