U.S. flag An official website of the United States government.
Official websites use .gov

A .gov website belongs to an official government organization in the United States.

Secure .gov websites use HTTPS

A lock ( ) or https:// means you've safely connected to the .gov website. Share sensitive information only on official, secure websites.

i

Association of anthropometric characteristics of law enforcement officers with perceived ratings of fit, comfort, and pain in the use of body armor

Supporting Files
  • 4-2024

  • By ORCID ICON IMG
File Language:
English


Details

  • Alternative Title:
    Ergonomics
  • Personal Author:
  • Description:
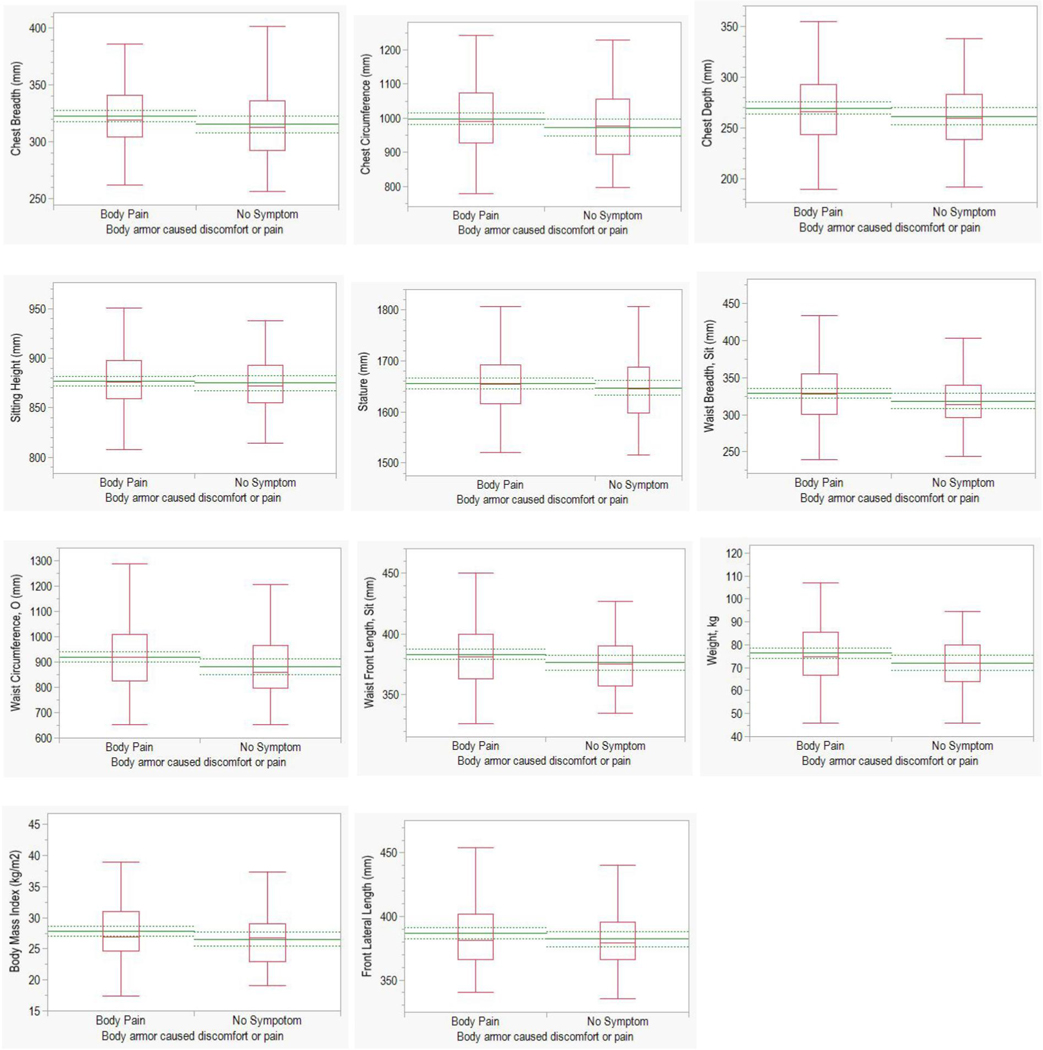
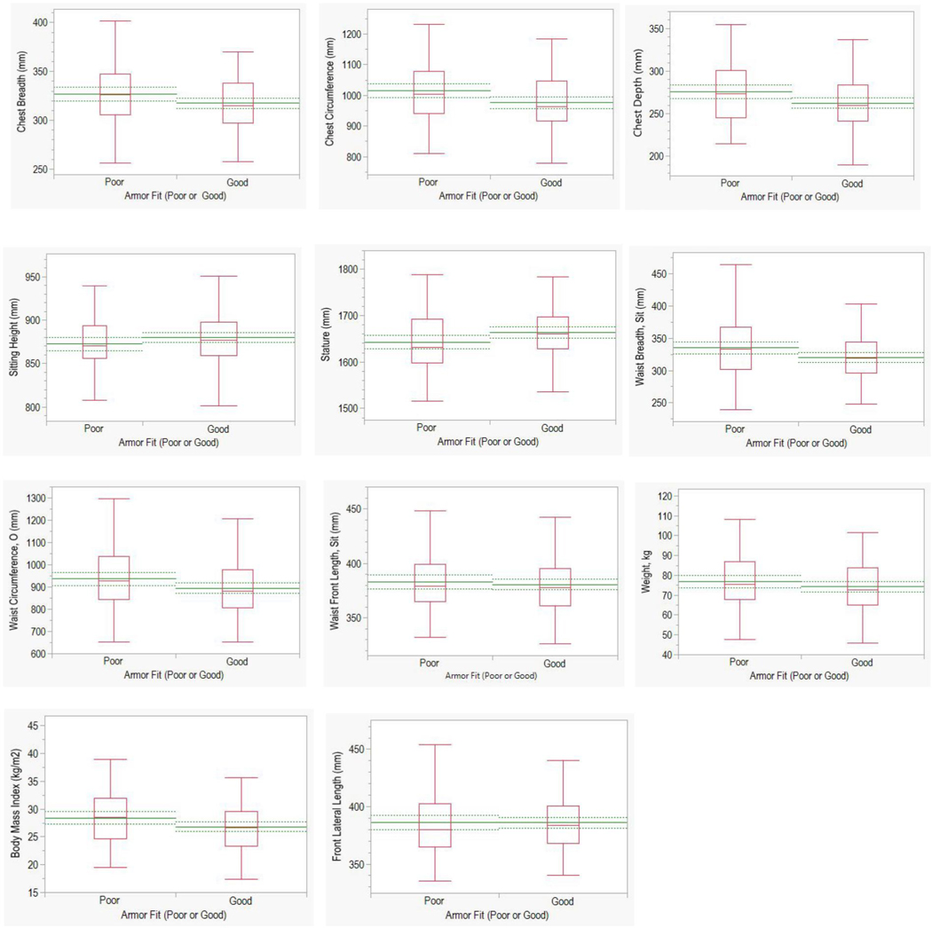
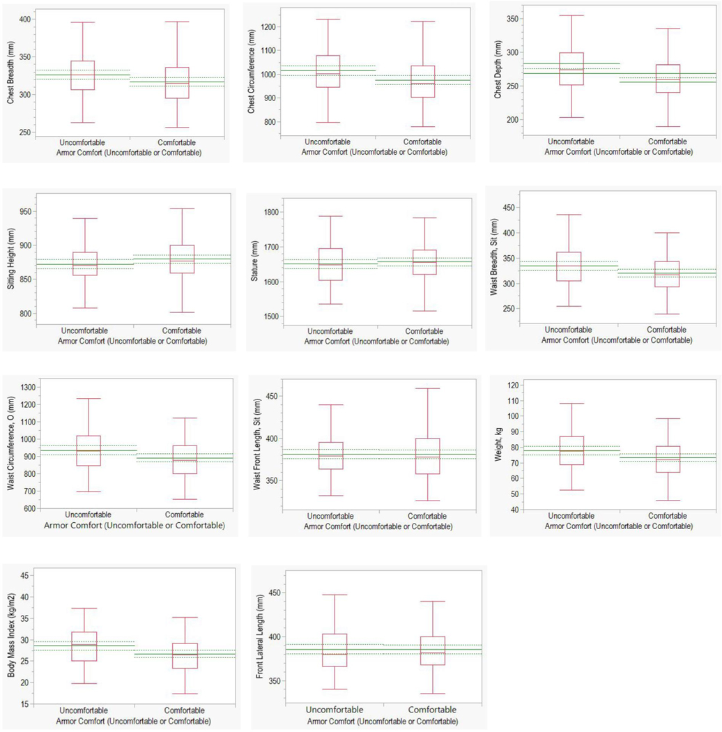
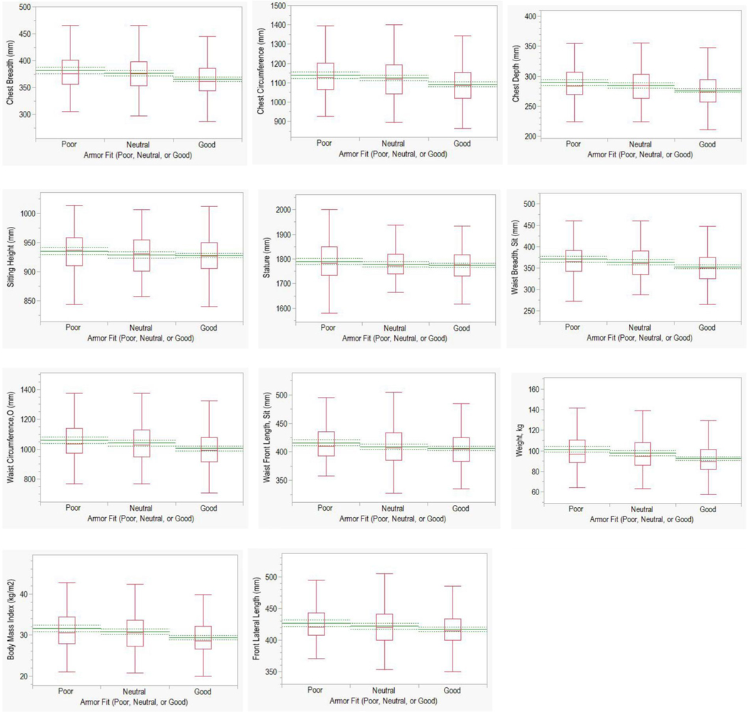
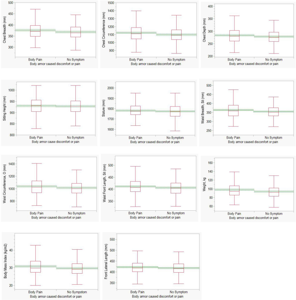
    Knowledge gaps exist on association between law enforcement officer (LEO) anthropometric characteristics and perceived body armour fit, armour discomfort, and armour-caused pain. This study assessed the correlation and identified influential torso dimensions for armour sizing and design applications. Nine-hundreds and seventy-four LEOs across the U.S. participated in a national study on LEO armour use and body dimensions. Perceived ratings of armour fit, armour discomfort, and body pain were found moderately correlated with each other. In addition, armour fit ratings were associated with certain torso anthropometric characteristics, such as chest circumference, chest breadth, chest depth, waist circumference, waist breadth (sitting), waist front length (sitting), body weight, and body mass index. LEOs who reported armour poor fit, armour discomfort, and armour-caused pain had a larger mean of body dimensions than the "armor good fit" group. More women than men had poor fit, discomfort, and body pain in the use of body armour.| The identified influential body measurements can be used as the "drivers" for multivariate analyses to develop an improved armour sizing system to further LEO protection. The study also suggests consideration of gender specific armour sizing systems to accommodate differences in torso configurations between male and female officers and to resolve the concern that more female officers had poor armour fit than male officers.
  • Subjects:
  • Keywords:
  • Source:
    Ergonomics. 67(4):541-565
  • Pubmed ID:
    37399229
  • Pubmed Central ID:
    PMC11391880
  • Document Type:
  • Funding:
  • Volume:
    67
  • Issue:
    4
  • Collection(s):
  • Main Document Checksum:
    urn:sha-512:34b501ed264c017eef5adb5bc6bd2275c10806fa96e2ca364b344068c89ea7e89c60563f335f973d0491122f8c4711220360096e74a63fcd784f6843641a33cb
  • Download URL:
  • File Type:
    Filetype[PDF - 3.01 MB ]
File Language:
English
ON THIS PAGE

CDC STACKS serves as an archival repository of CDC-published products including scientific findings, journal articles, guidelines, recommendations, or other public health information authored or co-authored by CDC or funded partners.

As a repository, CDC STACKS retains documents in their original published format to ensure public access to scientific information.