Predictors of Autism Spectrum Disorder and ADHD: Results from the National Survey of Children’s Health
Supporting Files
-
1 2024
-
File Language:
English
Details
-
Alternative Title:Disabil Health J
-
Personal Author:
-
Description:Background:
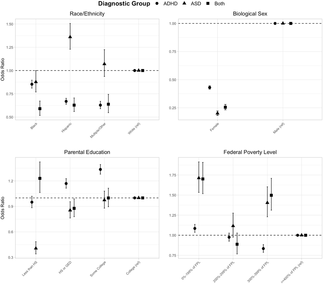
Autism spectrum disorder (ASD) and Attention-Deficit/Hyperactivity Disorder (ADHD) are two of the most common neurodevelopmental disorders with comorbidity rates of up to 70%. Population-based studies show differential rates of ADHD and ASD diagnosis based on sociodemographic variables. However, no studies to date have examined the role of sociodemographic factors on the likelihood of receiving an ADHD, ASD, or comorbid ASD+ADHD diagnosis in a large, nationally representative sample.
Objective:
This study aims to examine the impact of sociodemographic factors on the odds of experiencing ASD-only, ADHD-only, or both diagnoses for children in the United States.
Methods:
Using a mixed effects multinomial logistic modeling approach and data from the 2016–2018 National Survey of Children’s Health, we estimated the association between sociodemographic variables and the log odds of being in each diagnostic group.
Results:
Sociodemographic variables were differentially related to the three diagnostic groups: ASD-only, ADHD-only, and ASD+ADHD. Compared to girls, boys experienced higher odds of all three diagnosis categories. White children had higher odds of having an ADHD-only or ASD+ADHD diagnosis compared to Non-Hispanic (NH) Black, NH multiple/other race, and Hispanic children. Odds ratios for levels of parent education, household income, and birth characteristics showed varying trends across diagnostic groups.
Conclusions:
Overall, our findings point to unique sets of risk factors differentially associated ASD and ADHD, with lower income standing out as an important factor associated with receiving a diagnosis of ASD+ADHD.
-
Subjects:
-
Keywords:
-
Source:Disabil Health J. 17(1):101512
-
Pubmed ID:37838574
-
Pubmed Central ID:PMC11249046
-
Document Type:
-
Funding:
-
Volume:17
-
Issue:1
-
Collection(s):
-
Main Document Checksum:urn:sha-512:1b2796166a519245cdc5fabc841dc7b0da1328e9a4df433454e1c46d6243d7c6b8aa621a0f983cca62773cd4464a271c0160ebea407809385bc20680d9bbe4d5
-
Download URL:
-
File Type:
Supporting Files
File Language:
English
ON THIS PAGE
CDC STACKS serves as an archival repository of CDC-published products including
scientific findings,
journal articles, guidelines, recommendations, or other public health information authored or
co-authored by CDC or funded partners.
As a repository, CDC STACKS retains documents in their original published format to ensure public access to scientific information.
As a repository, CDC STACKS retains documents in their original published format to ensure public access to scientific information.
You May Also Like
COLLECTION
CDC Public Access