U.S. flag An official website of the United States government.
Official websites use .gov

A .gov website belongs to an official government organization in the United States.

Secure .gov websites use HTTPS

A lock ( ) or https:// means you've safely connected to the .gov website. Share sensitive information only on official, secure websites.

i

Selected movement and force pattern differences in rail- and rung-climbing of fire apparatus aerial ladders at 52.5° slope

Supporting Files
File Language:
English


Details

  • Alternative Title:
    Appl Ergon
  • Personal Author:
  • Description:
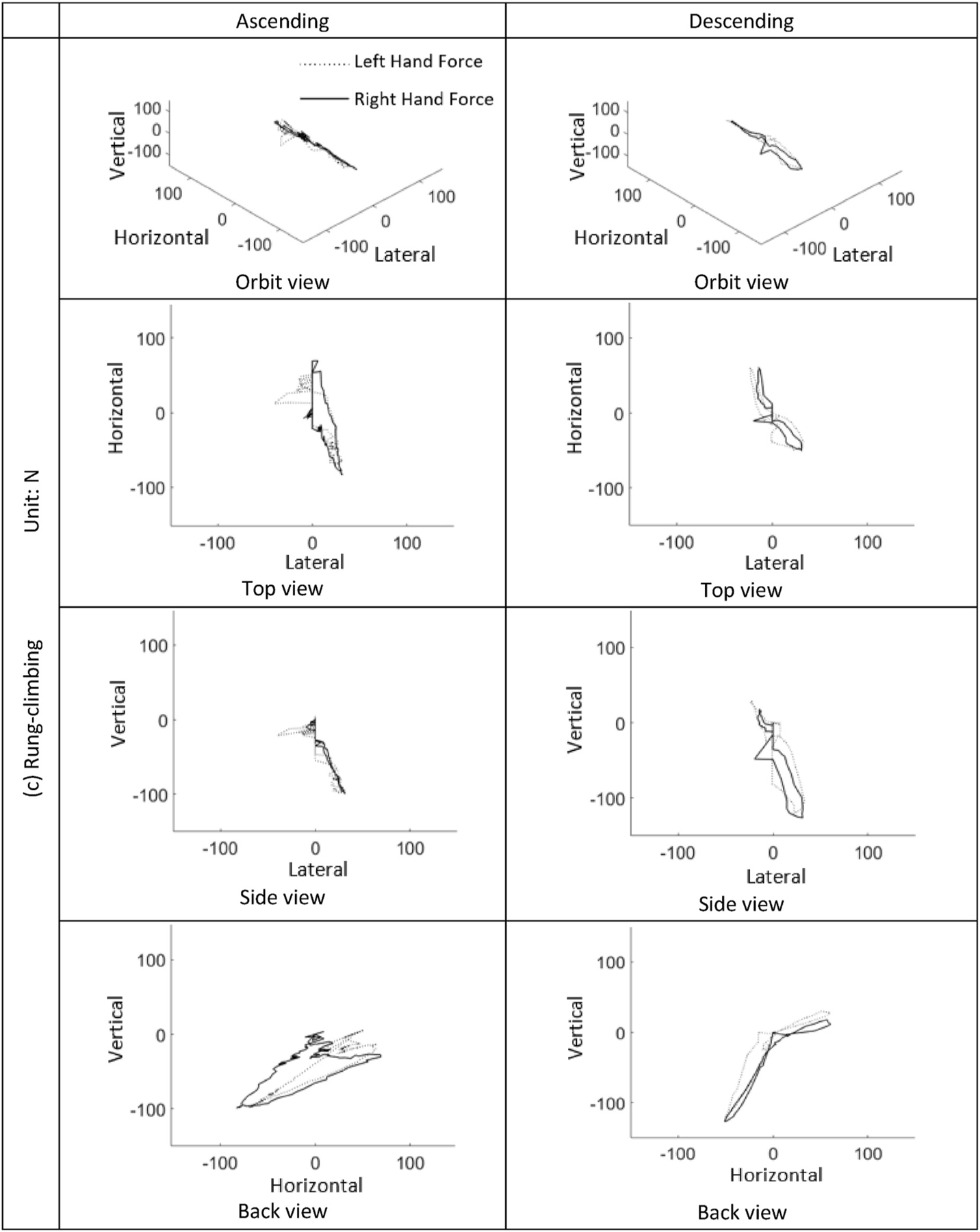
    This study compares human climbing performance, including climbing speed and movement and force patterns, between rail- and rung-climbing styles for a moderate aerial ladder slope (52.5°). Hand and foot movements and forces were recorded for 9 male and 10 female firefighters as they ascended and descended a 3.4-m ladder using elevated handrails (rail-climbing) or rungs (rung-climbing) for hand support. The results indicated that climbers used three or more points of contact 54% of the time for rung-climbing and 100% of the time for rail-climbing. Furthermore, rail-climbing was 10% faster than rung-climbing. In rail-climbing, the lateral hand forces were mostly directed away from the body; while during rung-climbing, they were alternated in lateral and medial directions. Overall, the results suggested that rail-climbing provides better control over body positioning and faster climbing speed. Furthermore, the continuous contact of both hands in rail-climbing may reduce the fall risk by facilitating the recovery from a slip or perturbation.
  • Subjects:
  • Keywords:
  • Source:
    Appl Ergon. 99:103639
  • Pubmed ID:
    34753097
  • Pubmed Central ID:
    PMC11298859
  • Document Type:
  • Funding:
  • Volume:
    99
  • Collection(s):
  • Main Document Checksum:
    urn:sha-512:72f2dbc34ff5b61946f0798e53fdd2b8a48e15fbe2b96fe7c3c184e504f9984e0fce6f88e5c1c22d88f7cd76f5eb4dc1d3e452633d171012a4a66e696faff9e6
  • Download URL:
  • File Type:
    Filetype[PDF - 1.50 MB ]
File Language:
English
ON THIS PAGE

CDC STACKS serves as an archival repository of CDC-published products including scientific findings, journal articles, guidelines, recommendations, or other public health information authored or co-authored by CDC or funded partners.

As a repository, CDC STACKS retains documents in their original published format to ensure public access to scientific information.