U.S. flag An official website of the United States government.
Official websites use .gov

A .gov website belongs to an official government organization in the United States.

Secure .gov websites use HTTPS

A lock ( ) or https:// means you've safely connected to the .gov website. Share sensitive information only on official, secure websites.

i

Testing the shock protection performance of Type I construction helmets using impactors of different masses

Supporting Files
File Language:
English


Details

  • Alternative Title:
    Biomed Mater Eng
  • Personal Author:
  • Description:
    BACKGROUND:

    Wearing protective helmets is an important prevention strategy to reduce work-related traumatic brain injuries. The existing standardized testing systems are used for quality control and do not provide a quantitative measure of the helmet performance.

    OBJECTIVE:

    To analyze the failure characterizations of Type I industrial helmets and develop a generalized approach to quantify the shock absorption performance of Type I industrial helmets based on the existing standardized setups.

    METHODS:

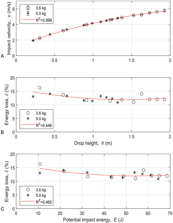
    A representative basic Type I construction helmet model was selected for the study. Top impact tests were performed on the helmets at different drop heights using two different impactor masses (3.6 and 5.0 kg).

    RESULTS:

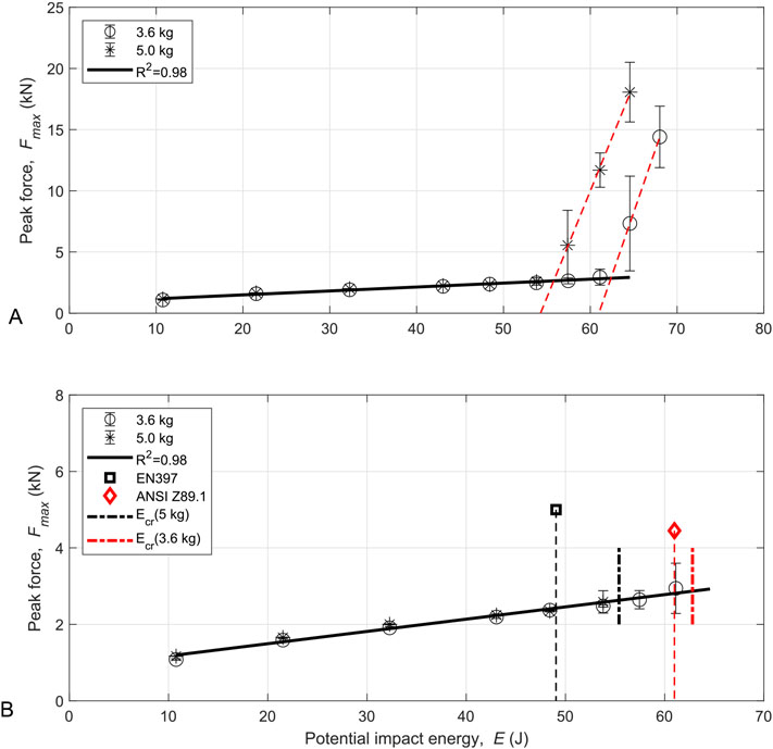
    When the helmets were impacted with potential impact energies smaller than the critical potential impact energy values, there was a consistent relationship between the peak impact force and the potential impact energy. When the helmets were impacted under potential impact energies greater than the critical potential impact energy values, the peak impact forces increased steeply with increasing potential impact energy.

    CONCLUSION:

    A concept of safety margin for construction helmets based on potential impact energy was introduced to quantify the helmets’ shock absorption performance. The proposed method will help helmet manufacturers improve their product quality.

  • Subjects:
  • Keywords:
  • Source:
    Biomed Mater Eng. 35(4):351-363
  • Pubmed ID:
    38669519
  • Pubmed Central ID:
    PMC11292649
  • Document Type:
  • Funding:
  • Volume:
    35
  • Issue:
    4
  • Collection(s):
  • Main Document Checksum:
    urn:sha-512:ba88b15d6d2c82f83ee98c32426d56c6f39dca666956ba975877899999d073e1dfdf5b5f800cf1729f0147378e244a958801fba6302fbf21495fc6f00c0d0918
  • Download URL:
  • File Type:
    Filetype[PDF - 961.51 KB ]
File Language:
English
ON THIS PAGE

CDC STACKS serves as an archival repository of CDC-published products including scientific findings, journal articles, guidelines, recommendations, or other public health information authored or co-authored by CDC or funded partners.

As a repository, CDC STACKS retains documents in their original published format to ensure public access to scientific information.