Modeling undetected poliovirus circulation following the 2022 outbreak in the United States
Supporting Files
-
2024
-
File Language:
English
Details
-
Alternative Title:Expert Rev Vaccines
-
Personal Author:
-
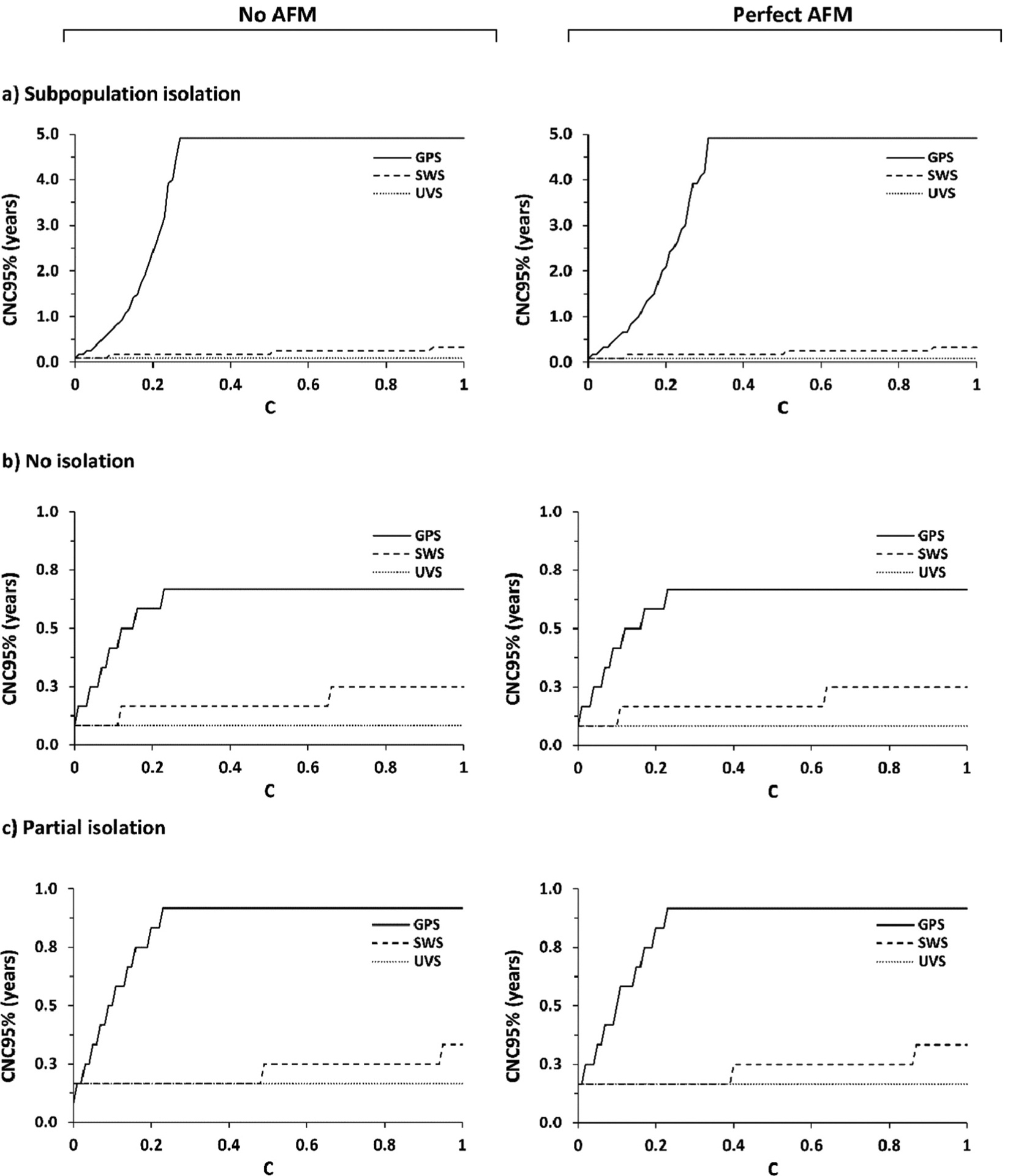
Description:Background:
New York State (NYS) reported a polio case (June 2022) and outbreak of imported type 2 circulating vaccine-derived poliovirus (cVDPV2) (last positive wastewater detection in February 2023), for which uncertainty remains about potential ongoing undetected transmission.
Research Design and Methods:
Extending a prior deterministic model, we apply an established stochastic modeling approach to characterize the confidence about no circulation (CNC) of cVDPV2 as a function of time since the last detected signal of transmission (i.e. poliovirus positive acute flaccid myelitis case or wastewater sample).
Results:
With the surveillance coverage for the NYS population majority and its focus on outbreak counties, modeling suggests a high CNC (95%) within 3–10 months of the last positive surveillance signal, depending on surveillance sensitivity and population mixing patterns. Uncertainty about surveillance sensitivity implies longer durations required to achieve higher CNC.
Conclusions:
In populations that maintain high overall immunization coverage with inactivated poliovirus vaccine (IPV), rare polio cases may occur in un(der)-vaccinated individuals. Modeling demonstrates the unlikeliness of type 2 outbreaks reestablishing endemic transmission or resulting in large absolute numbers of paralytic cases. Achieving and maintaining high immunization coverage with IPV remains the most effective measure to prevent outbreaks and shorten the duration of imported poliovirus transmission.
-
Subjects:
-
Keywords:
-
Source:Expert Rev Vaccines. 23(1):186-195
-
Pubmed ID:38164695
-
Pubmed Central ID:PMC11284832
-
Document Type:
-
Funding:
-
Volume:23
-
Issue:1
-
Collection(s):
-
Main Document Checksum:urn:sha-512:1374943c4d2a7677c1f4e6c8b74f4c422e1250f9ea94da9babad77de54414837ca1c318929f2ae0b0b09b9c3c320ac935bb816f67cb9713c50a6bec4b075954f
-
Download URL:
-
File Type:
Supporting Files
File Language:
English
ON THIS PAGE
CDC STACKS serves as an archival repository of CDC-published products including
scientific findings,
journal articles, guidelines, recommendations, or other public health information authored or
co-authored by CDC or funded partners.
As a repository, CDC STACKS retains documents in their original published format to ensure public access to scientific information.
As a repository, CDC STACKS retains documents in their original published format to ensure public access to scientific information.
You May Also Like
COLLECTION
CDC Public Access