U.S. flag An official website of the United States government.
Official websites use .gov

A .gov website belongs to an official government organization in the United States.

Secure .gov websites use HTTPS

A lock ( ) or https:// means you've safely connected to the .gov website. Share sensitive information only on official, secure websites.

i

Comparison of neighborhood deprivation index and food desert status as environmental predictors of early childhood obesity

Supporting Files
File Language:
English


Details

  • Alternative Title:
    Int Public Health J
  • Personal Author:
  • Description:
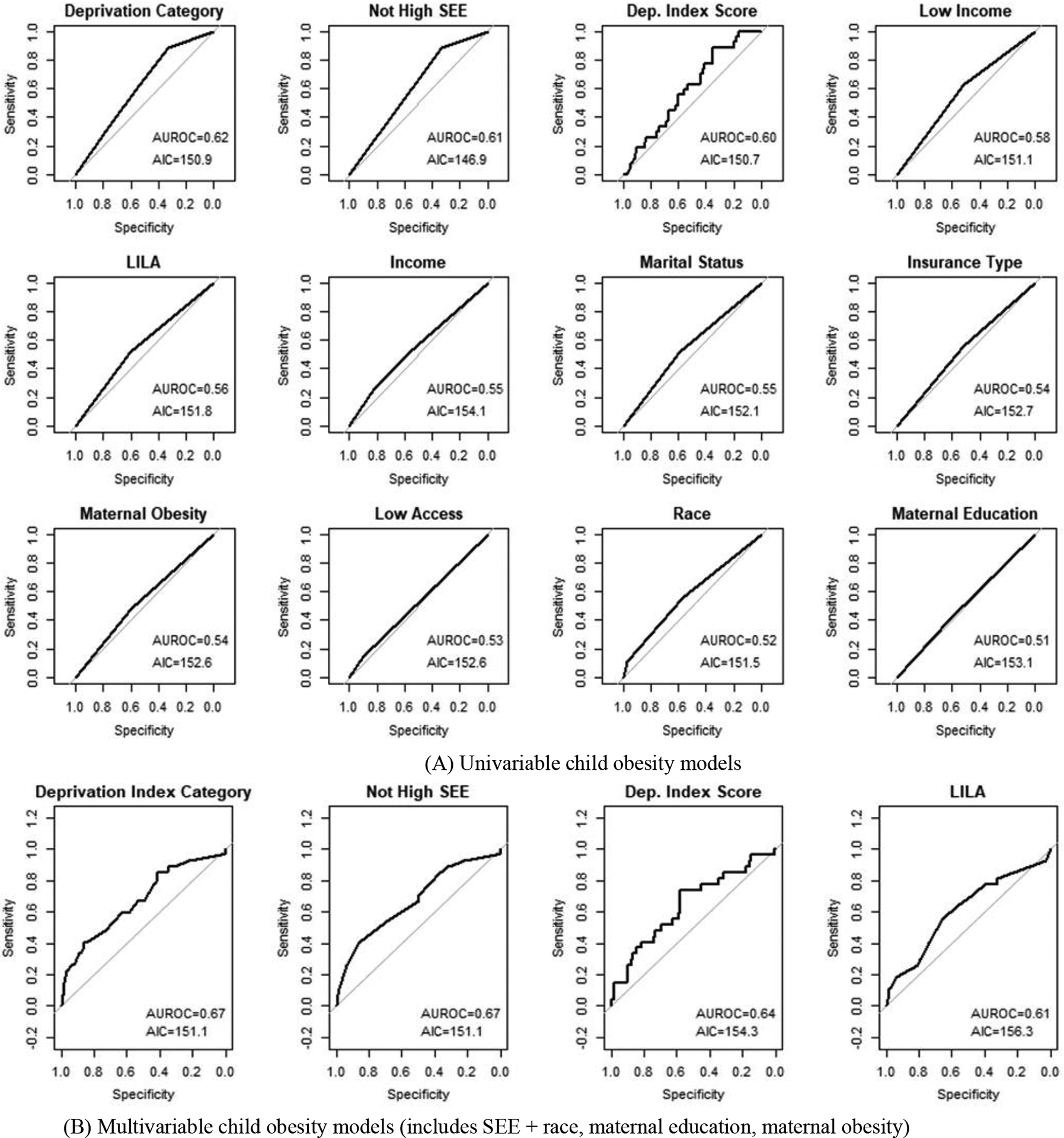
    Nearly 14% of American children aged 2-5 have obesity, with higher rates in children from lower-income and Black families. While evidence connects neighborhood socioeconomic environment (SEE) and obesity in adults and adolescents, little is known of this relationship in young children. We compared measures of SEE and family-level socio-demographic factors as predictors of obesity at age two.|Family-level data from the PREVAIL Cohort, a CDC-funded birth cohort in Cincinnati, Ohio, were collected prenatally from the mothers. Residential addresses were geocoded and assigned validated measures of census tract-level SEE, including USDA food desert indicators and the Deprivation Index. Family-level and ecological SEE were compared as predictors of obesity (BMI| ≥1.65) at age two in terms of proportional differences, relative risk, and model fit statistics.|Residing outside of Deprivation Index High SEE neighborhoods was significantly associated with higher proportion (20.0% | 5.9%; χ| = 4.36, | = 0.037) and increased risk of obesity in univariable (RR = 3.4, 95%CI: 1.26-13.86) and multivariable models (RR = 3.5, 95%CI: 1.06-11.71). There were no differences in proportion or risk of obesity by USDA food desert indicators or family-level factors. Models using categorical Deprivation Index performed better than the family-level and the USDA food desert variables in terms of model fit.|In the PREVAIL Cohort, only category of Deprivation Index was a significant predictor of obesity in two-year-old children. Future studies are needed to evaluate the Deprivation Index as a generalizable tool to identify neighborhoods at higher risk for obesity.
  • Keywords:
  • Source:
    Int Public Health J. 14(3):263-276
  • Pubmed ID:
    39071797
  • Pubmed Central ID:
    PMC11274199
  • Document Type:
  • Funding:
  • Volume:
    14
  • Issue:
    3
  • Collection(s):
  • Main Document Checksum:
    urn:sha-512:cc8c9a3d3d0fb5d02315371208cd804453cd7c7e78eade9fa9fa8867d43a141b30c04d54a55c51ecbc83565ce1ab07458c013ec97a6f3aecead4b24f0a4a3d2b
  • Download URL:
  • File Type:
    Filetype[PDF - 1.26 MB ]
File Language:
English
ON THIS PAGE

CDC STACKS serves as an archival repository of CDC-published products including scientific findings, journal articles, guidelines, recommendations, or other public health information authored or co-authored by CDC or funded partners.

As a repository, CDC STACKS retains documents in their original published format to ensure public access to scientific information.