U.S. flag An official website of the United States government.
Official websites use .gov

A .gov website belongs to an official government organization in the United States.

Secure .gov websites use HTTPS

A lock ( ) or https:// means you've safely connected to the .gov website. Share sensitive information only on official, secure websites.

i

Compare the marginal effects for environmental exposure and biomonitoring data with repeated measurements and values below the limit of detection

Supporting Files
File Language:
English


Details

  • Alternative Title:
    J Expo Sci Environ Epidemiol
  • Personal Author:
  • Description:
    Background

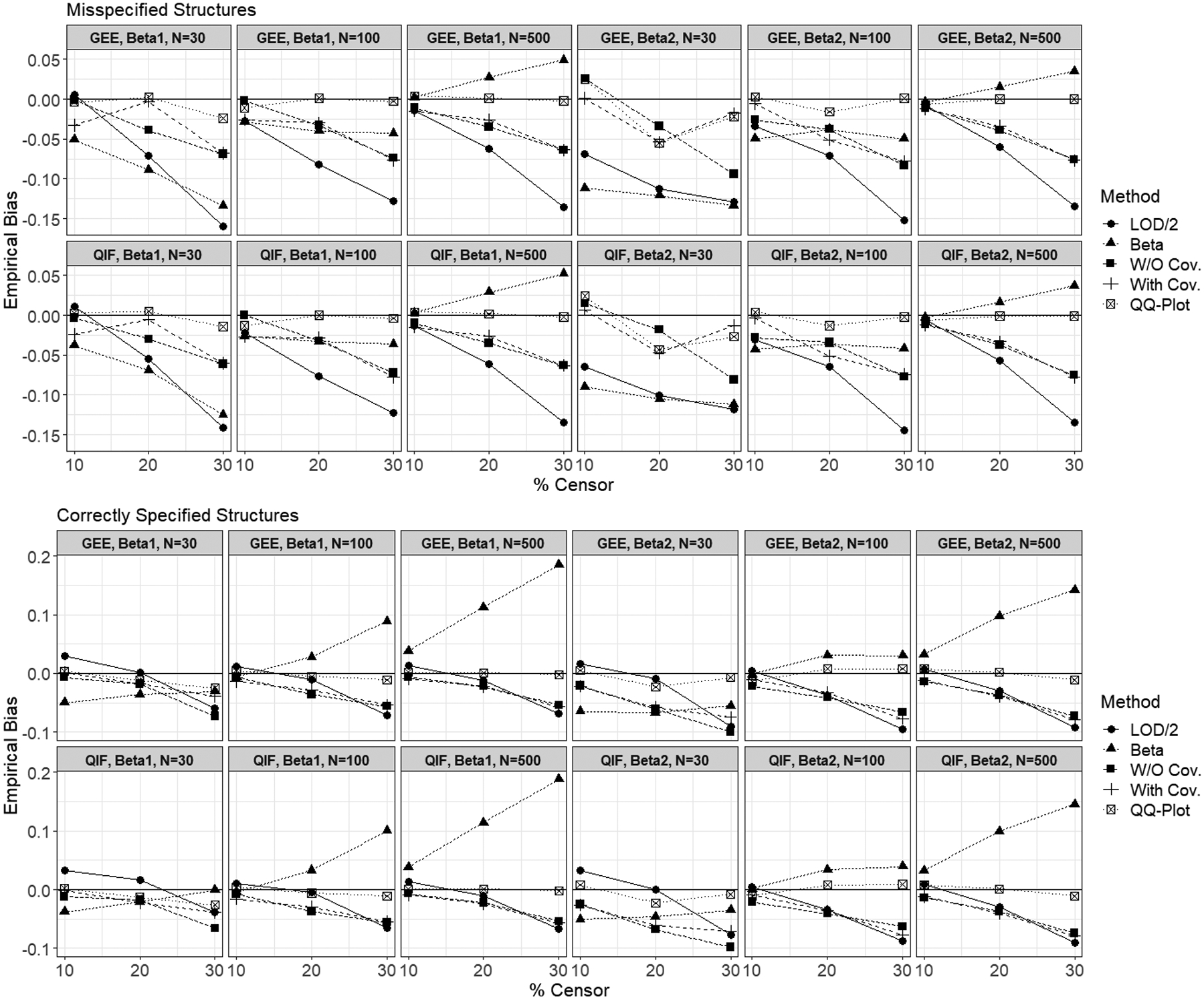
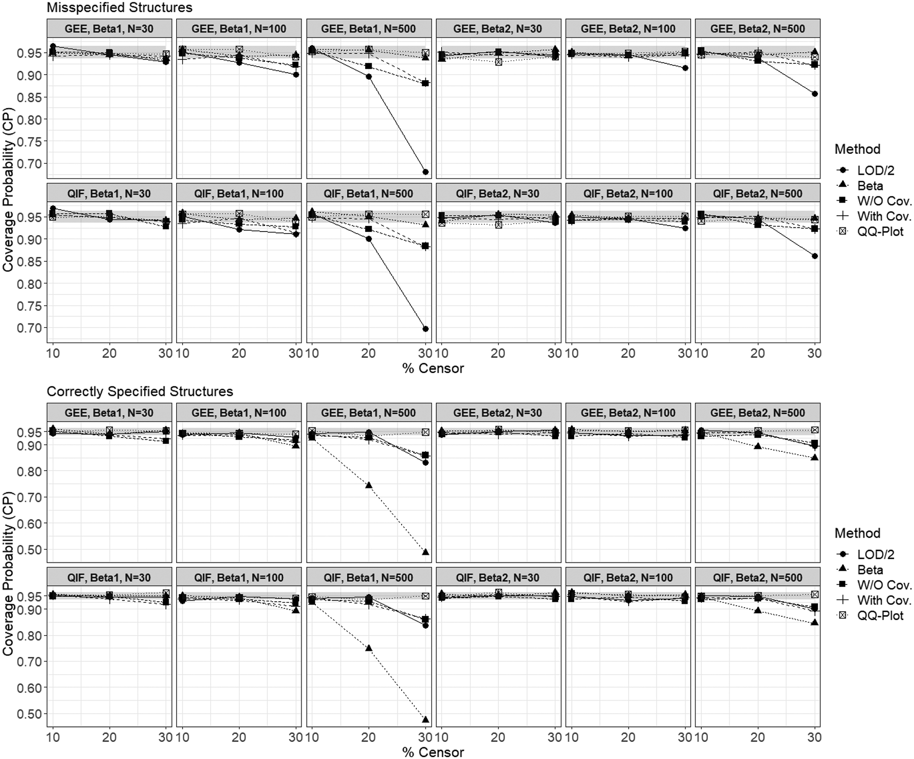
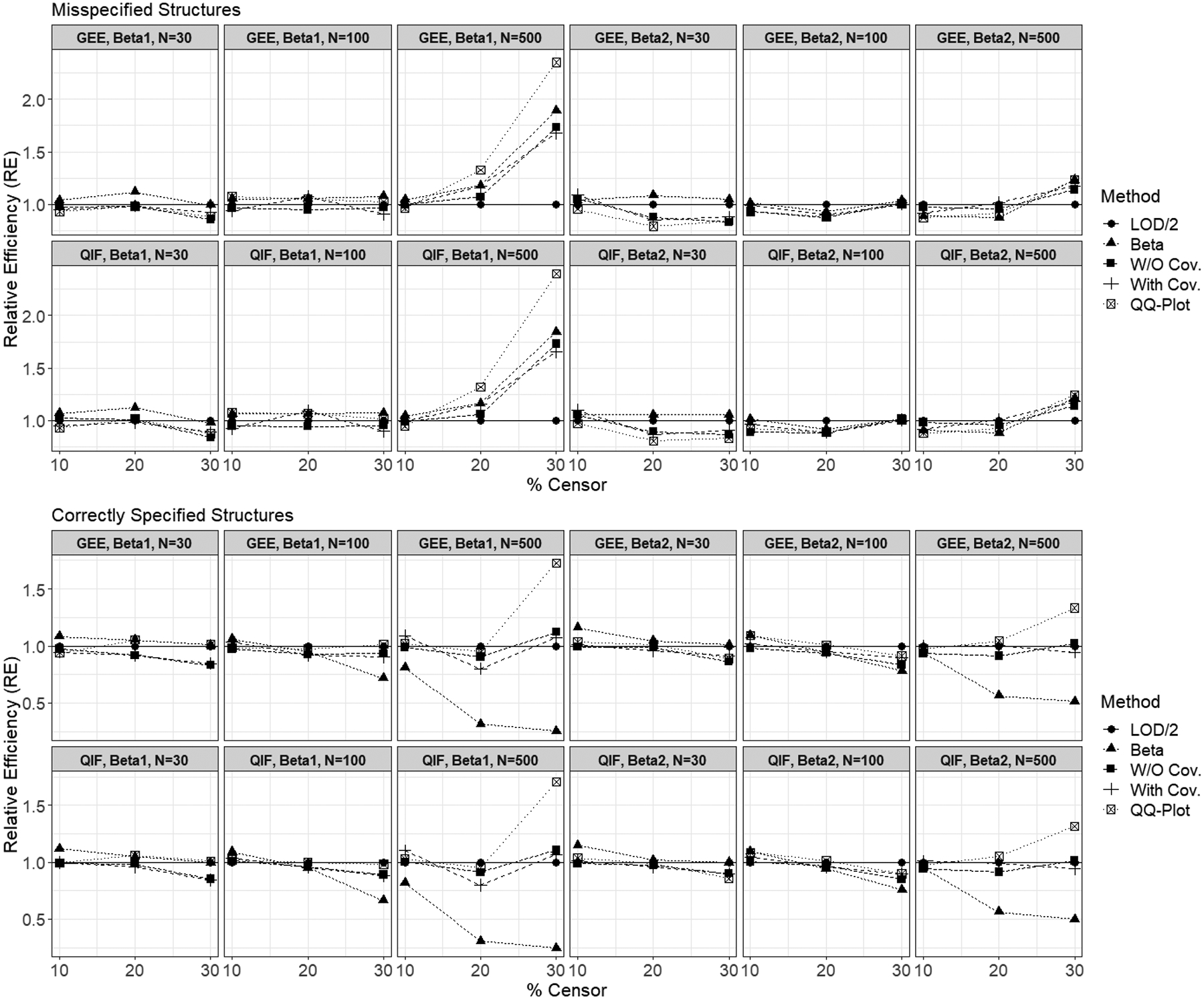
    Environmental exposure and biomonitoring data with repeated measurements from environmental and occupational studies are commonly right-skewed and in the presence of limits of detection (LOD). However, existing model has not been discussed for small-sample properties and highly skewed data with non-detects and repeated measurements.

    Objective

    Marginal modeling provides an alternative to analyzing longitudinal and cluster data, in which the parameter interpretations are with respect to marginal or population-averaged means.

    Methods

    We outlined the theories of three marginal models, i.e., generalized estimating equations (GEE), quadratic inference functions (QIF), and generalized method of moments (GMM). With these approaches, we proposed to incorporate the fill-in methods, including single and multiple value imputation techniques, such that any measurements less than the limit of detection are assigned values.

    Results

    We demonstrated that the GEE method works well in terms of estimating the regression parameters in small sample sizes, while the QIF and GMM outperform in large-sample settings, as parameter estimates are consistent and have relatively smaller mean squared error. No specific fill-in method can be deemed superior as each has its own merits.

    Significance

    The marginal models for environmental exposure and biomonitoring data with repeated measurements and non-detects performed validity of statistical inference, especially in small-sample settings. In addition to the use of mixed effects models, these models will broaden and benefit the repeated measures data analysis in the field of exposure science.

    Impact Statement

    Marginal modeling is firstly employed to analyze repeated measures data with non-detects, in which only the mean structure needs to be correctly provided to obtain consistent parameter estimates. After replacing non-detects through substitution methods and utilizing small-sample bias corrections, in a simulation study we found that the estimating approaches used in the marginal models have corresponding advantages under a wide range of sample sizes. We also applied the models to longitudinal and cluster working examples.

  • Subjects:
  • Keywords:
  • Source:
    J Expo Sci Environ Epidemiol. 34(6):1018-1027 ; J Expo Sci Environ Epidemiol. 34(6):1018-1027
  • Pubmed ID:
    38253592
  • Pubmed Central ID:
    PMC11260897
  • Document Type:
  • Funding:
  • Volume:
    34
  • Issue:
    6
  • Collection(s):
  • Main Document Checksum:
    urn:sha-512:84d6de94030d24476de465f82aff7c5f33aa056bc08e6db63fdd5dab9f2ed9d532e082f04c5354da8d84c83e5b3c0fe80045c5cb7f181542a2a2b0d5b56feb74
  • Download URL:
  • File Type:
    Filetype[PDF - 1.68 MB ]
File Language:
English
ON THIS PAGE

CDC STACKS serves as an archival repository of CDC-published products including scientific findings, journal articles, guidelines, recommendations, or other public health information authored or co-authored by CDC or funded partners.

As a repository, CDC STACKS retains documents in their original published format to ensure public access to scientific information.