Folate and vitamin B12 status and predicted neural tube defects risk among nonpregnant women of reproductive age from the Malawi National Micronutrient Survey, 2015–2016
Supporting Files
-
3 2024
-
File Language:
English
Details
-
Alternative Title:Birth Defects Res
-
Personal Author:
-
Description:Background:
Maternal folate and vitamin B12 deficiency can lead to serious adverse pregnancy outcomes. There are no nationally representative estimates on folate and vitamin B12 status among women of reproductive age (WRA) in Malawi.
Objective:
We assessed folate and vitamin B12 status among nonpregnant WRA in Malawi and predicted the risk of folate-sensitive neural tube defects (NTDs) were they to become pregnant.
Methods:
Using data from the cross-sectional, nationally representative 2015–2016 Malawi Micronutrient Survey, we calculated the proportion of folate and vitamin B12 deficiency and insufficiency by demographic characteristics among 778 nonpregnant WRA (15–49 years). We predicted NTD prevalence using red blood cell (RBC) folate distributions and a published Bayesian model of the association between RBC folate and NTD risk. Analyses accounted for complex survey design.
Results:
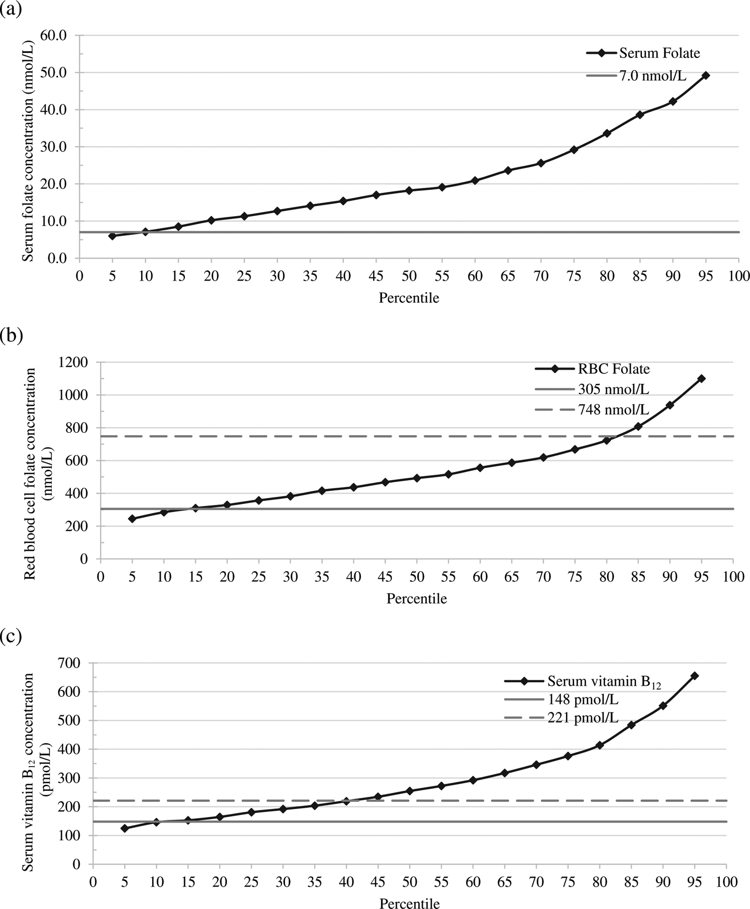
Among WRA, 8.5% (95% CI: 6.2, 11.6) and 13.3% (10.0, 17.4) had serum (<7 nmol/L) and RBC folate (<305 nmol/L) deficiency, respectively. The proportion of vitamin B12 deficiency (<148 pmol/L) and insufficiency (≤221 pmol/L) was 11.8% (8.6, 16.0) and 40.6% (34.1, 47.4), respectively. RBC folate insufficiency (<748 nmol/L, defined as the concentration associated with the threshold for elevated NTD risk: >8 cases per 10,000 births) was widespread: 81.4% (75.0, 86.4). The predicted NTD risk nationally was 24.7 cases per 10,000 live births. RBC folate insufficiency and higher predicted NTD risk were more common among WRA living in urban areas or with higher education.
Conclusions:
These findings highlight the importance of nutritional and NTD surveillance in Malawi and the opportunity for improving folate and vitamin B12 nutrition among Malawian WRA.
-
Subjects:
-
Keywords:
-
Source:Birth Defects Res. 116(3):e2329
-
Pubmed ID:38526193
-
Pubmed Central ID:PMC11253844
-
Document Type:
-
Funding:
-
Volume:116
-
Issue:3
-
Collection(s):
-
Main Document Checksum:urn:sha-512:d7516f4a0fb1b81547535258299f248c9ce29d6252a587018a57ec7d8976309a36884e8f0a5f5901f412a546a2c76ad2f4b5303199ea1ea804599ff34e02db85
-
Download URL:
-
File Type:
Supporting Files
File Language:
English
ON THIS PAGE
CDC STACKS serves as an archival repository of CDC-published products including
scientific findings,
journal articles, guidelines, recommendations, or other public health information authored or
co-authored by CDC or funded partners.
As a repository, CDC STACKS retains documents in their original published format to ensure public access to scientific information.
As a repository, CDC STACKS retains documents in their original published format to ensure public access to scientific information.
You May Also Like
COLLECTION
CDC Public Access