U.S. flag An official website of the United States government.
Official websites use .gov

A .gov website belongs to an official government organization in the United States.

Secure .gov websites use HTTPS

A lock ( ) or https:// means you've safely connected to the .gov website. Share sensitive information only on official, secure websites.

i

Assessing Community Health Risks from Exposure to Ultrafine Particles Containing Transition Metals in the Greater Houston Area

Supporting Files
File Language:
English


Details

  • Alternative Title:
    Sci Total Environ
  • Personal Author:
  • Description:
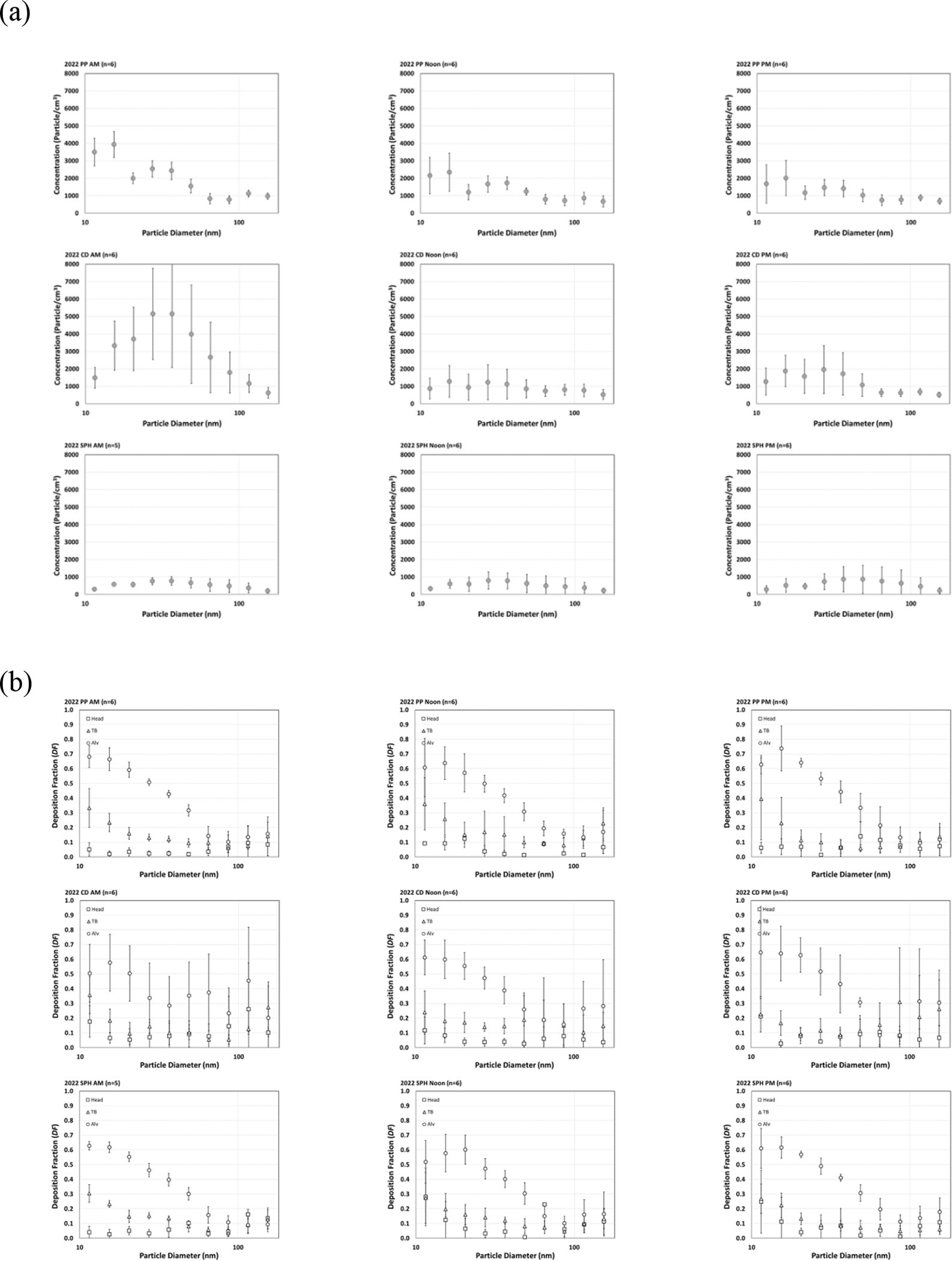
    Ultrafine particles (UFPs) in urban air environments have been an essential public health concern. The inhalation of UFPs can introduce transition metals contained in the UFP into the human airways, leading to adverse health effects. Therefore, it is crucial to investigate urban air UFP exposure and health risks induced by transition metals. This research carried out a series of field measurements to study urban air UFP exposure in the Greater Houston Area. Three sampling sites in the Greater Houston Area representing varying levels of UFP exposures were selected. The newly developed Mobile Aerosol Lung Deposition Apparatus (MALDA) which consists of a complete set of human airway replicas and a pair of UFP particle sizers was deployed in the sampling sites during three sampling timeframes (morning rush hours, noon, and afternoon rush hours) to obtain on-site UFP respiratory deposition data. UFP samples were collected at the sampling sites for metal composition analysis. The acquired UFP respiratory deposition data and UFP composition data were then used to calculate the respiratory deposited mass of transition metals and estimate the associated health risks for individuals living near sampling sites. Our results showed that transition metal-induced non-cancer risks caused by exposure to urban UFPs were within acceptable limits. The estimated lifetime excess cancer risks were generally <10|, indicating an overall acceptable level of transition metal-induced cancer risk.
  • Subjects:
  • Keywords:
  • Source:
    Sci Total Environ. 912:169067
  • Pubmed ID:
    38049001
  • Pubmed Central ID:
    PMC11215817
  • Document Type:
  • Funding:
  • Volume:
    912
  • Collection(s):
  • Main Document Checksum:
    urn:sha256:d69997121afeea67ff9daba1d6d3e39db24fe6bcdcf806f7cb4c2f75178fbce5
  • Download URL:
  • File Type:
    Filetype[PDF - 1.22 MB ]
File Language:
English
ON THIS PAGE

CDC STACKS serves as an archival repository of CDC-published products including scientific findings, journal articles, guidelines, recommendations, or other public health information authored or co-authored by CDC or funded partners.

As a repository, CDC STACKS retains documents in their original published format to ensure public access to scientific information.