An Ergonomic Assessment of Hospital Linen Bag Handling
Supporting Files
-
8 2017
-
File Language:
English
Details
-
Alternative Title:New Solut
-
Personal Author:
-
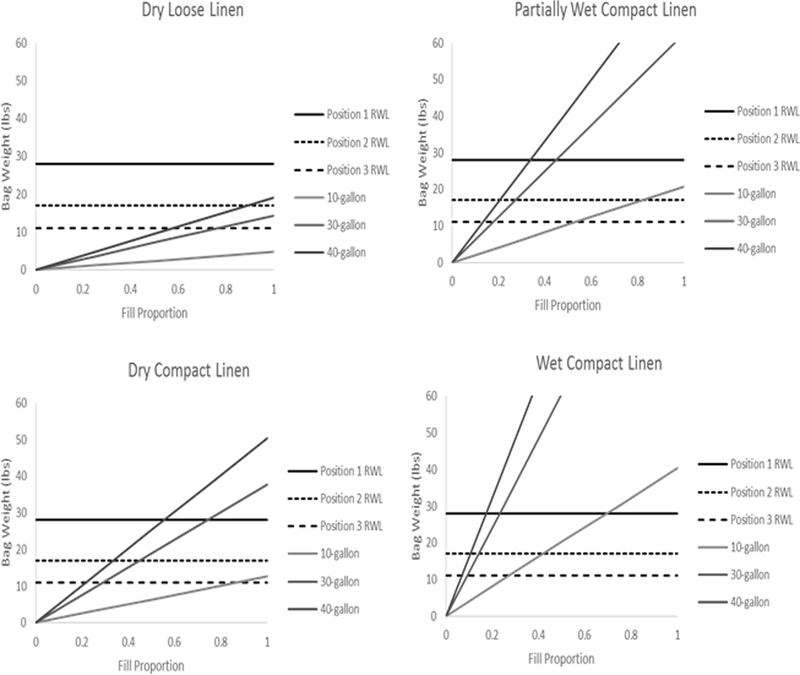
Description:The Joint Commission provides accreditation standards for staging hospital waste, but there are no federal lifting safety standards for linen bags. We evaluated hospital laundry bag lifting using the Revised National Institute for Occupational Safety and Health (NIOSH) Lifting Equation. We hypothesized that the permitted 32-gallon linen container capacity might allow filling to weights above our calculated Recommended Weight Limit (RWL) for some lifting positions and contents. We found that 30- and 40-gallon bags filled with loose dry linen had predicted weights within estimated RWLs only for lifts close to the body. Thirty- and 40-gallon bags filled more than halfway with dry compact linen had predicted weights above estimated RWLs for all lifting positions. Thirty- and 40-gallon bags filled with wet compact linen exceeded estimated RWLs for all positions when less than one-quarter full. Bag volume and filling controls may be considered to ensure linen bags are not excessively heavy.
-
Subjects:
-
Keywords:
-
Source:New Solut. 27(2):210-224
-
Pubmed ID:28541160
-
Pubmed Central ID:PMC6132049
-
Document Type:
-
Funding:
-
Volume:27
-
Issue:2
-
Collection(s):
-
Main Document Checksum:urn:sha256:84073176b25eb39384dfaa05dc59818cdf7011a7c0f767cf1c6eef45e7b0ad7a
-
Download URL:
-
File Type:
Supporting Files
File Language:
English
ON THIS PAGE
CDC STACKS serves as an archival repository of CDC-published products including
scientific findings,
journal articles, guidelines, recommendations, or other public health information authored or
co-authored by CDC or funded partners.
As a repository, CDC STACKS retains documents in their original published format to ensure public access to scientific information.
As a repository, CDC STACKS retains documents in their original published format to ensure public access to scientific information.
You May Also Like
COLLECTION
CDC Public Access