U.S. flag An official website of the United States government.
Official websites use .gov

A .gov website belongs to an official government organization in the United States.

Secure .gov websites use HTTPS

A lock ( ) or https:// means you've safely connected to the .gov website. Share sensitive information only on official, secure websites.

i

Development and validation of a dynamic mass-balance prediction model for indoor particle concentrations in an office room

Supporting Files
File Language:
English


Details

  • Alternative Title:
    Build Environ
  • Personal Author:
  • Description:
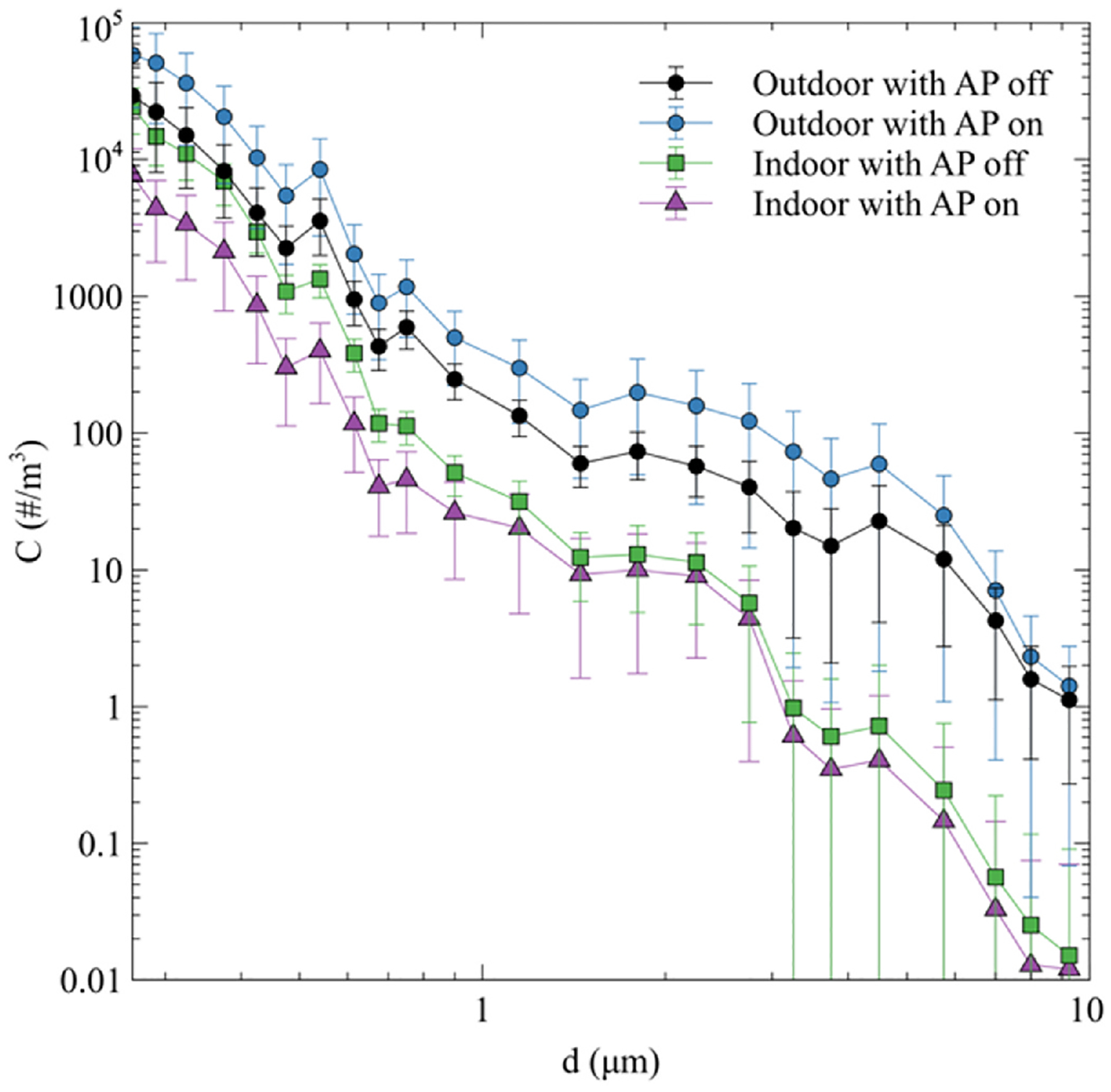
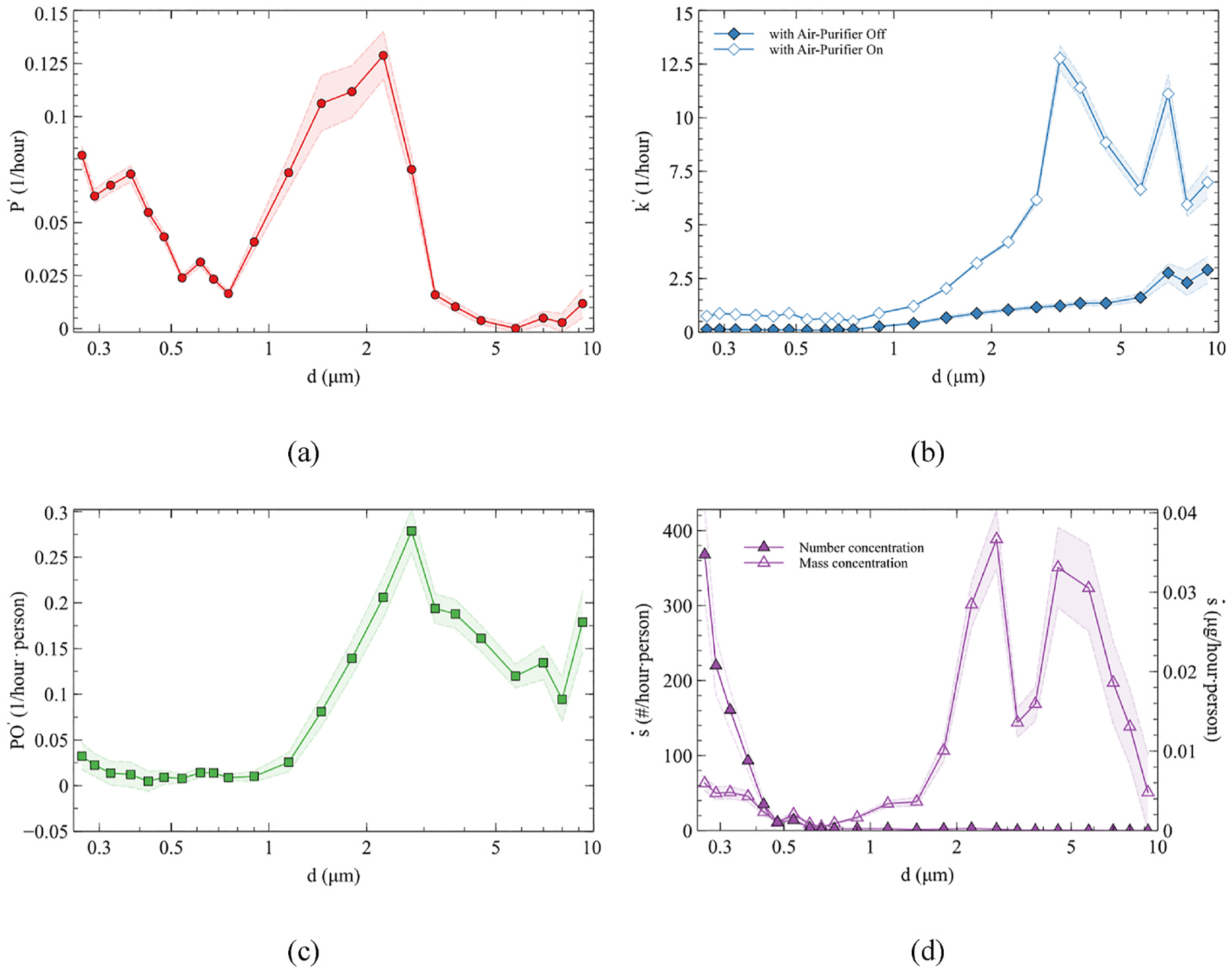
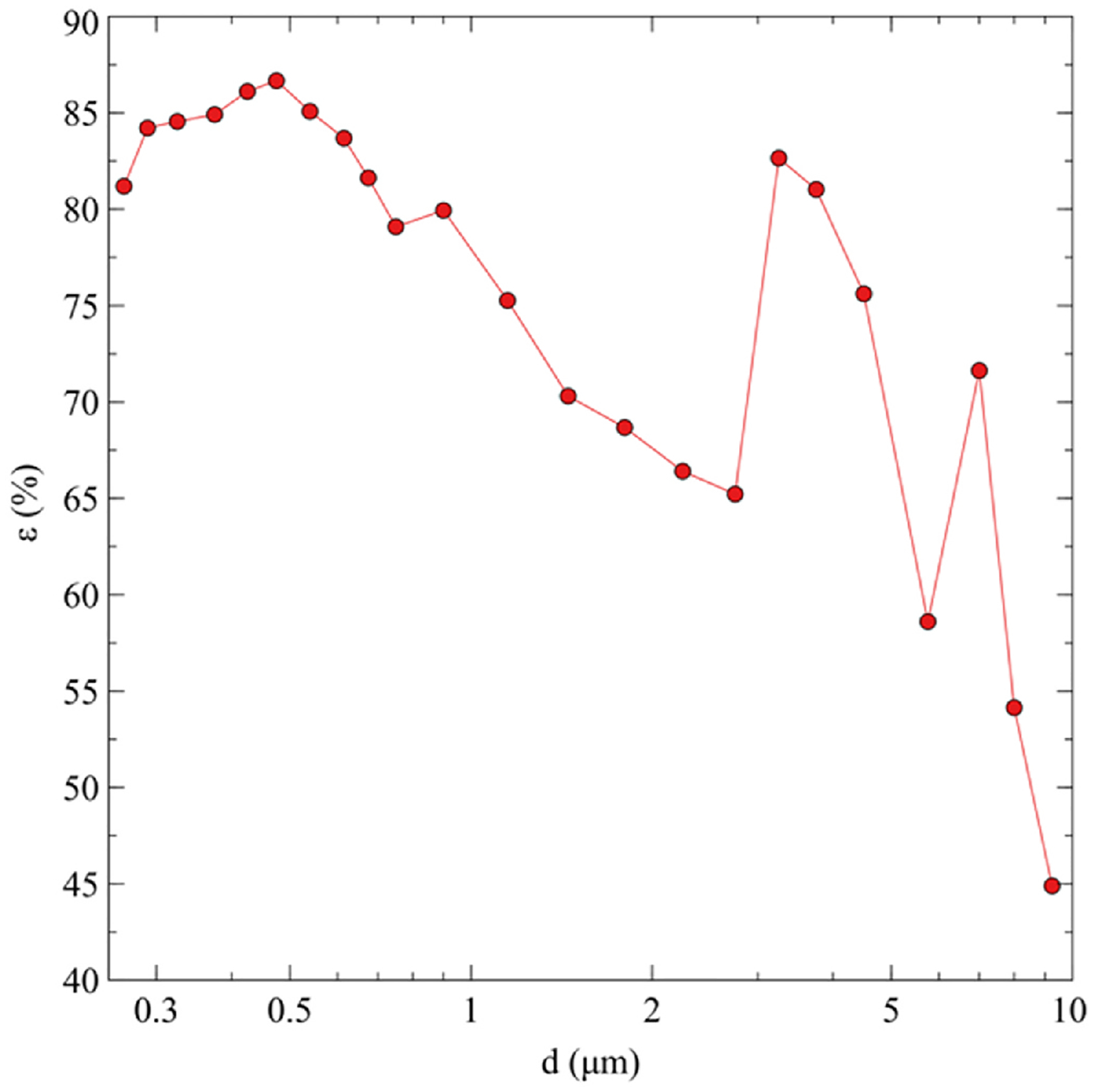
    The Korean government recommends intermittent operation of air purifiers (APs) as a measure to maintain indoor particulate matter (PM) concentrations below the mandatory standards and reduce exposure to indr PM| (PM with a diameter smaller than |). However, there is no guideline to inform occupants of when and how long APs should be operated to comply with the standards. In this study, we developed a dynamic mass-balance model to predict indoor PM concentrations in an office considering penetration of outdoor particles, change in number of occupants, and operational status of the AP. The model fit and prediction accuracies were verified using the American Society for Testing and Materials (ASTM) D 5157 criteria and the k-fold validation technique. We observed that indoor PM| concentrations were determined by infiltration of outdoor PM|, and indoor generation/resuspension by occupants and removal. For |, the indoor concentrations were determined by interior door access and indoor generation/resuspension. The operation of an AP effectively decreased indoor PM| concentration but not PM|. We found that our model accurately predicted indoor PM concentrations. Therefore, using the developed model, a guideline may recommend: 1) start the AP when the predicted indoor PM| concentrations under no AP operation approached the standard (e.g., 90% of the standard); and 2) stop the AP when the indoor PM| concentration predicted under the assumption of no AP operation fell below the standard (e.g., 80% of the standard).
  • Keywords:
  • Source:
    Build Environ. 207(Pt A)
  • Pubmed ID:
    38617094
  • Pubmed Central ID:
    PMC11009930
  • Document Type:
  • Funding:
  • Volume:
    207
  • Collection(s):
  • Main Document Checksum:
    urn:sha256:4615fca31c0421eda936e9aae62a7e4c437551b9f498bd87d1e51ab59f14f4fa
  • Download URL:
  • File Type:
    Filetype[PDF - 2.70 MB ]
File Language:
English
ON THIS PAGE

CDC STACKS serves as an archival repository of CDC-published products including scientific findings, journal articles, guidelines, recommendations, or other public health information authored or co-authored by CDC or funded partners.

As a repository, CDC STACKS retains documents in their original published format to ensure public access to scientific information.