U.S. flag An official website of the United States government.
Official websites use .gov

A .gov website belongs to an official government organization in the United States.

Secure .gov websites use HTTPS

A lock ( ) or https:// means you've safely connected to the .gov website. Share sensitive information only on official, secure websites.

i

Decreased Human Immunodeficiency Virus Diagnosis Rates Among Black and Hispanic or Latino Men Who Have Sex With Men in US Jurisdictions Supported by the THRIVE Demonstration Project, 2014–2019

Supporting Files
File Language:
English


Details

  • Alternative Title:
    Clin Infect Dis
  • Personal Author:
  • Description:
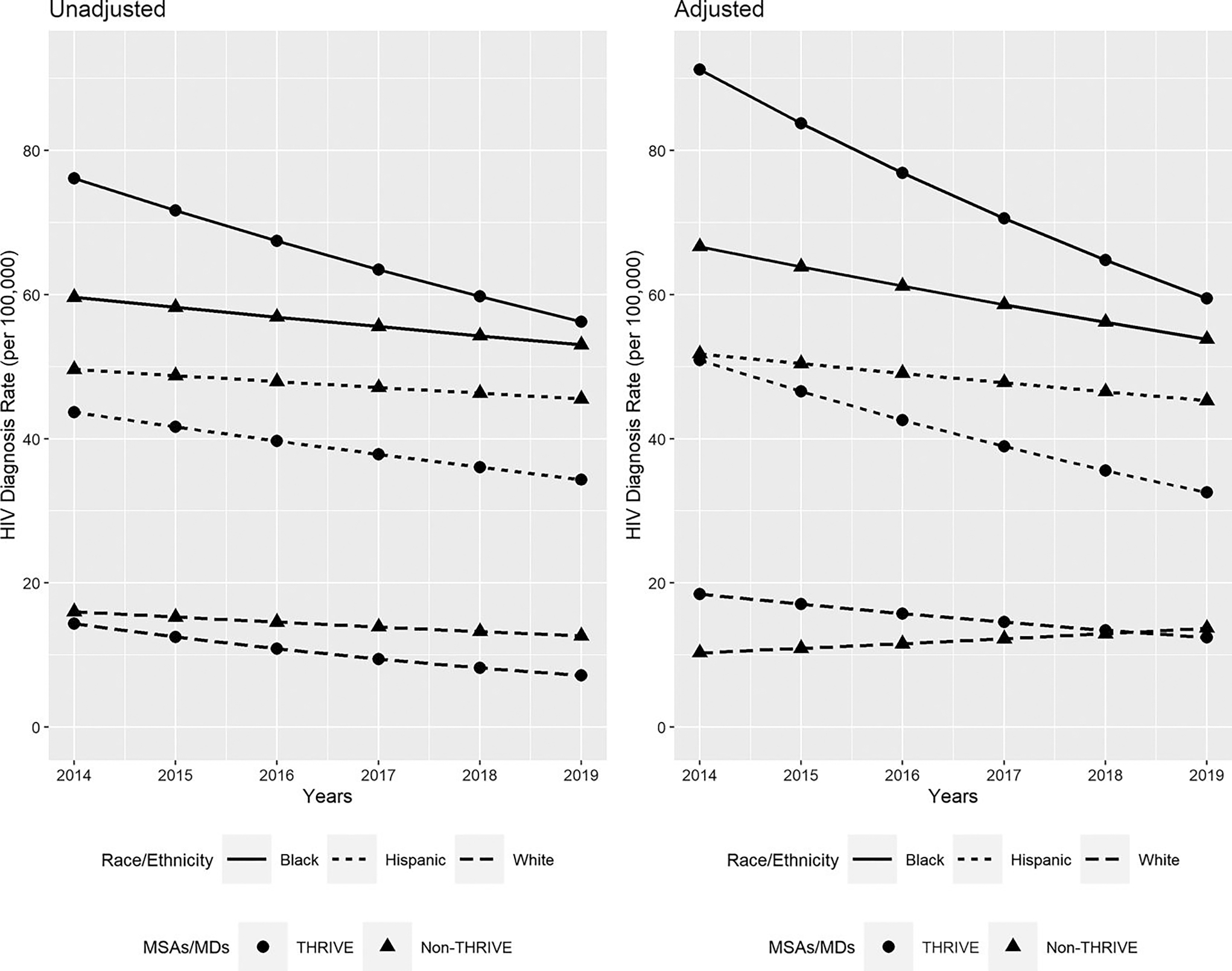
    Background.

    Black and Hispanic/Latino men who have sex with men (MSM) are disproportionately affected by human immunodeficiency virus (HIV). In the Targeted Highly Effective Interventions to Reverse the HIV Epidemic (THRIVE) demonstration project, 7 community collaboratives were developed to provide comprehensive HIV prevention services for these populations.

    Methods.

    We analyzed National HIV Surveillance System data to determine the number of HIV diagnoses for each year from 2014 to 2019 among Black, Hispanic/Latino, and White MSM in 7 THRIVE-eligible Metropolitan Statistical Areas (MSAs) that were awarded funding and 12 THRIVE-eligible MSAs that were not awarded funding. We used generalized linear Poisson regression models to estimate adjusted estimated annual percentage changes (EAPCs) with 95% confidence intervals for HIV diagnosis rates controlling for HIV prevalence, viral suppression, HIV testing rates, preexposure prophylaxis (PrEP) prescription rates, poverty, education, and insurance status.

    Results.

    We found larger estimated decreases in HIV diagnosis rates in THRIVE jurisdictions compared with non-THRIVE jurisdictions. The adjusted EAPC among Black MSM was −8.2 (−11.7 to −4.6) in THRIVE MSAs compared with −4.2 (−7.8 to −0.4) in non-THRIVE MSAs. The adjusted EAPC among Hispanic/Latino MSM was −8.6 (−12.2 to −4.8) in THRIVE MSAs compared with −2.6 (−5.1 to −0.1)in non-THRIVE MSAs. The adjusted EAPC among White MSM was −7.6 (−12.0 to −3.1) in THRIVE MSAs compared with 5.9 (1.8–10.1) in non-THRIVE MSAs.

    Conclusions.

    The THRIVE community collaborative model was associated with a decrease in HIV diagnoses among Black and Hispanic/Latino MSM. To achieve the goals of the US Ending the HIV Epidemic initiative, effective interventions aimed to increase PrEP use need to be focused on Black and Hispanic/Latino MSM.

  • Subjects:
  • Keywords:
  • Source:
    Clin Infect Dis. 76(2):307-314
  • Pubmed ID:
    36124683
  • Pubmed Central ID:
    PMC10999974
  • Document Type:
  • Funding:
  • Volume:
    76
  • Issue:
    2
  • Collection(s):
  • Main Document Checksum:
    urn:sha256:88d8872e418e24c16d30729fd071a9d0187ca854275b5c9ab41475fc034837d9
  • Download URL:
  • File Type:
    Filetype[PDF - 375.83 KB ]
File Language:
English
ON THIS PAGE

CDC STACKS serves as an archival repository of CDC-published products including scientific findings, journal articles, guidelines, recommendations, or other public health information authored or co-authored by CDC or funded partners.

As a repository, CDC STACKS retains documents in their original published format to ensure public access to scientific information.