U.S. flag An official website of the United States government.
Official websites use .gov

A .gov website belongs to an official government organization in the United States.

Secure .gov websites use HTTPS

A lock ( ) or https:// means you've safely connected to the .gov website. Share sensitive information only on official, secure websites.

i

Comparison of Zika virus inactivation methods for reagent production and disinfection methods

Supporting Files Public Domain
File Language:
English


Details

  • Alternative Title:
    J Virol Methods
  • Personal Author:
  • Description:
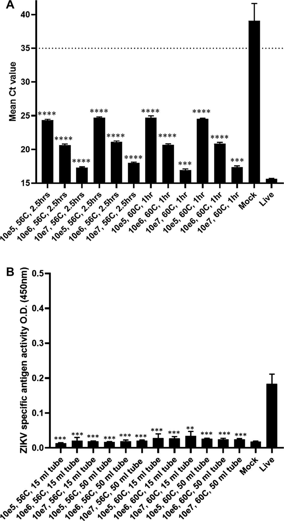
    Zika virus (ZIKV) infection remains a public health concern necessitating demand for long-term virus production for diagnostic assays and R&D activities. Inactivated virus constitutes an important component of the Trioplex rRT-PCR assay and serological IgM assay (MAC-ELISA). The aim of our study is to establish standard methods of ZIKV inactivation while maintaining antigenicity and RNA integrity. We tested viral supernatants by four different inactivation methods: 1. Heat inactivation at 56 °C and 60 °C; 2. Gamma-Irradiation; 3. Chemical inactivation by Beta-propiolactone (BPL) and 4. Fast-acting commercial disinfecting agents. Effectivity was measured by cytopathic effect (CPE) and plaque assay. RNA stability and antigenicity were measured by RT-PCR and MAC-ELISA, respectively. Results: Heat inactivation: Low titer samples, incubated at 56 °C for 2 h, showed neither CPE or plaques compared to high titer supernatants that required 2.5 h. Inactivation occurred at 60 °C for 60 min with all virus titers. Gamma irradiation: Samples irradiated at ≥3 Mrad for low virus concentrations and ≥5Mrad for high virus titer completely inactivated virus. Chemical Inactivation: Neither CPE nor plaques were observed with ≥0.045 % BPL inactivation of ZIKV. Disinfectant: Treatment of viral supernatants with Micro-Chem Plus™, inactivated virus in 2 min, whereas, Ethanol (70 %) and STERIS Coverage® Spray TB inactivated the virus in 5 min.
  • Source:
    J Virol Methods. 287:114004
  • Document Type:
  • Volume:
    287
  • Collection(s):
  • Main Document Checksum:
    urn:sha-512:296ff57eba185be7ade89e300ad7d93cb8264397b7c417005a9a82ede63c6e45cdda410d3b1d471df34371990bf607f9a67f6a8a237478071a064fdde419a933
  • Download URL:
  • File Type:
    Filetype[PDF - 597.08 KB ]
File Language:
English
ON THIS PAGE

CDC STACKS serves as an archival repository of CDC-published products including scientific findings, journal articles, guidelines, recommendations, or other public health information authored or co-authored by CDC or funded partners.

As a repository, CDC STACKS retains documents in their original published format to ensure public access to scientific information.