U.S. flag An official website of the United States government.
Official websites use .gov

A .gov website belongs to an official government organization in the United States.

Secure .gov websites use HTTPS

A lock ( ) or https:// means you've safely connected to the .gov website. Share sensitive information only on official, secure websites.

i

Telehealth use during the early COVID-19 public health emergency and subsequent health care costs and utilization

Supporting Files
File Language:
English


Details

  • Alternative Title:
    Health Aff Sch
  • Personal Author:
  • Description:
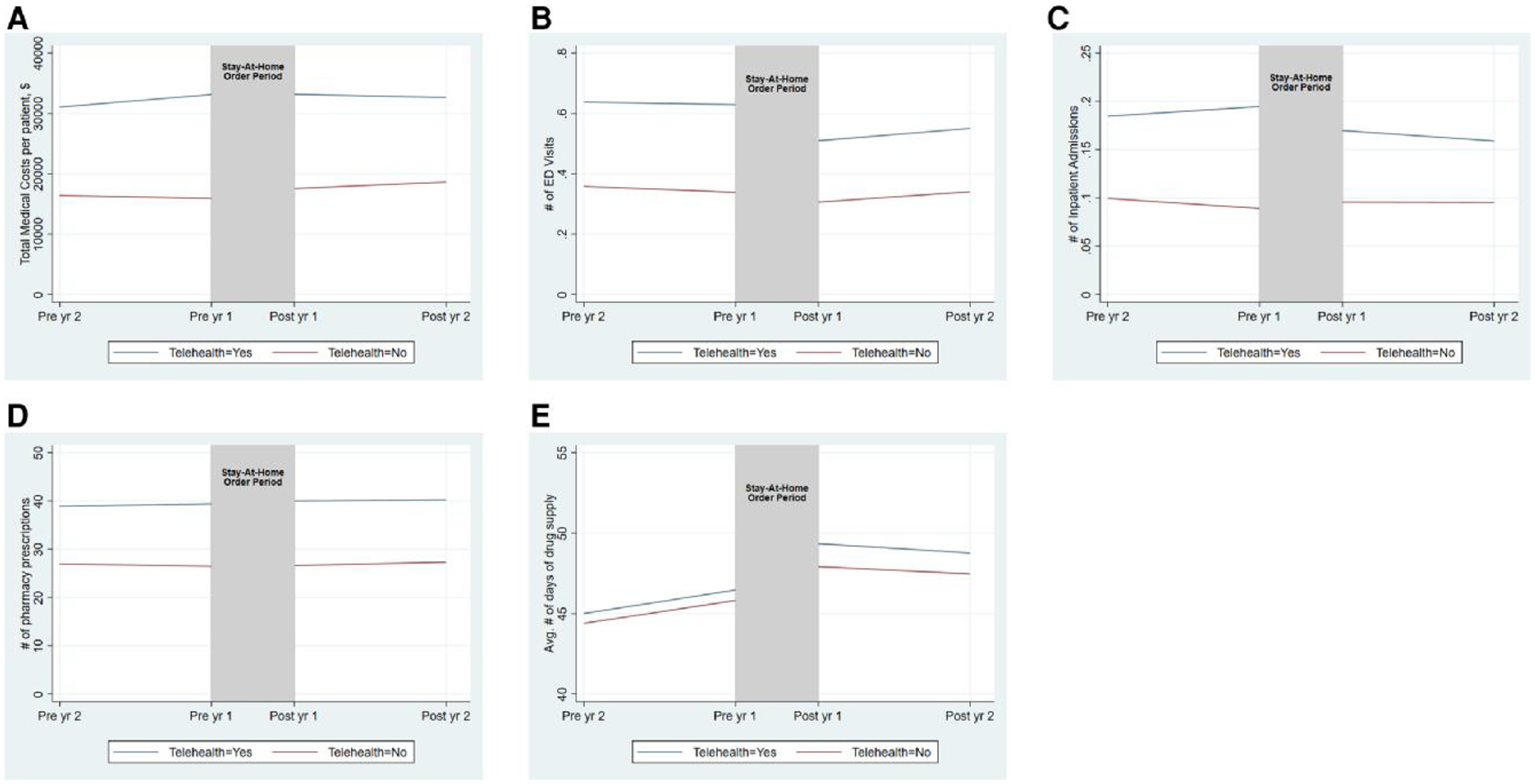
    Telehealth utilization increased during the COVID-19 pandemic, yet few studies have documented associations of telehealth use with subsequent medical costs and health care utilization. We examined associations of telehealth use during the early COVID-19 public health emergency (March-June 2020) with subsequent total medical costs and health care utilization among people with heart disease (HD). We created a longitudinal cohort of individuals with HD using MarketScan Commercial Claims data (2018-2022). We used difference-in-differences methodology adjusting for patients' characteristics, comorbidities, COVID-19 infection status, and number of in-person visits. We found that using telehealth during the stay-at-home order period was associated with a reduction in total medical costs (by -$1814 per person), number of emergency department visits (by -88.6 per 1000 persons), and number of inpatient admissions (by -32.4 per 1000 persons). Telehealth use increased per-person per-year pharmacy prescription claims (by 0.514) and average number of days' drug supply (by 0.773 days). These associated benefits of telehealth use can inform decision makers, insurance companies, and health care professionals, especially in the context of disrupted health care access.
  • Keywords:
  • Source:
    Health Aff Sch. 2(1)
  • Pubmed ID:
    38410743
  • Pubmed Central ID:
    PMC10895996
  • Document Type:
  • Funding:
  • Volume:
    2
  • Issue:
    1
  • Collection(s):
  • Main Document Checksum:
    urn:sha256:0a77ca3dcac7063a242407606aa1c58ef39e591fd55350a2a6c0a7c48a8c3bef
  • Download URL:
  • File Type:
    Filetype[PDF - 283.96 KB ]
File Language:
English
ON THIS PAGE

CDC STACKS serves as an archival repository of CDC-published products including scientific findings, journal articles, guidelines, recommendations, or other public health information authored or co-authored by CDC or funded partners.

As a repository, CDC STACKS retains documents in their original published format to ensure public access to scientific information.