Hostile home environment predicting early adolescent sexual harassment perpetration and potential school-related moderators
Supporting Files
-
6 2023
File Language:
English
Details
-
Alternative Title:J Res Adolesc
-
Personal Author:
-
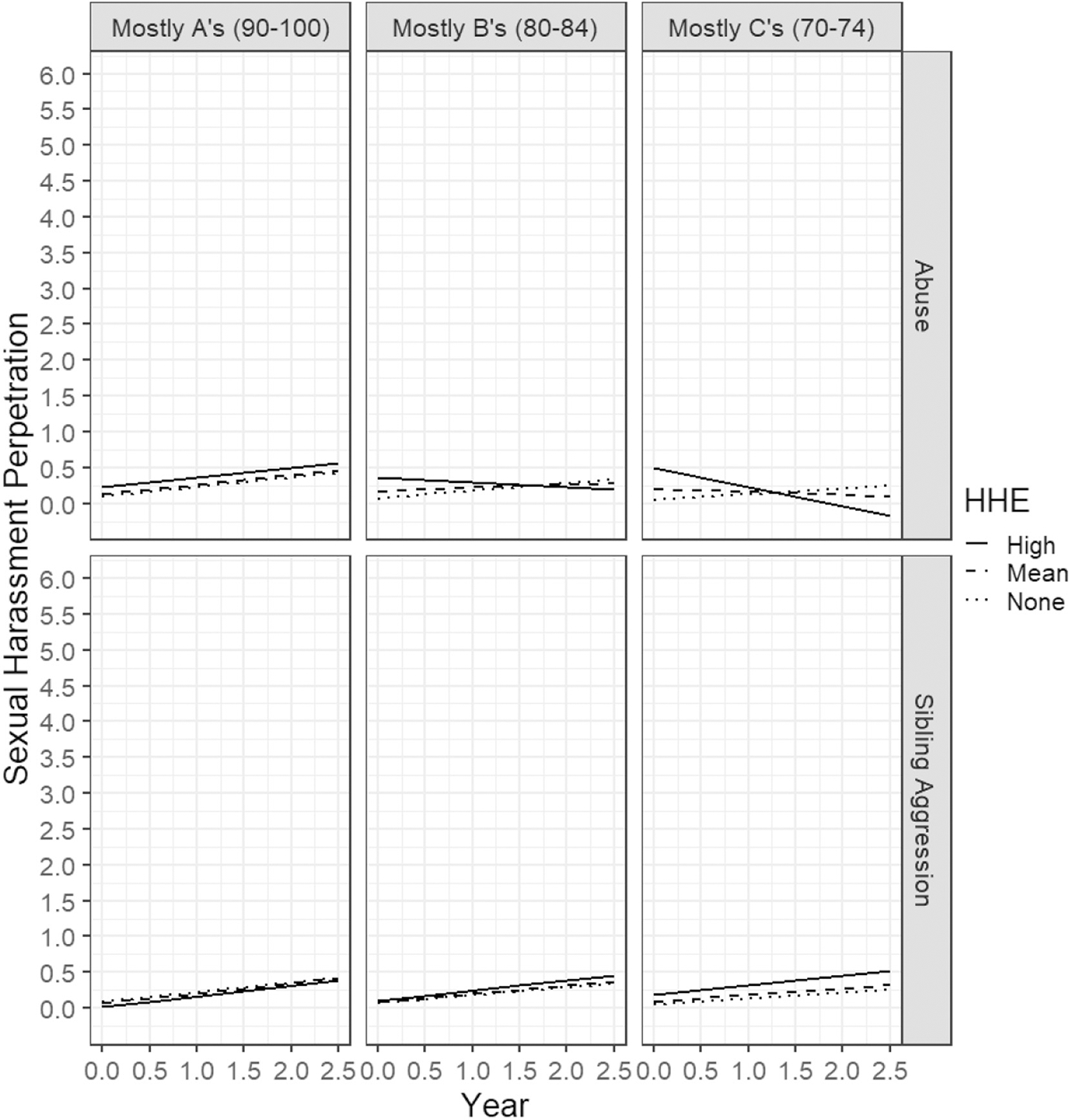
Description:Using family systems theory, this longitudinal study of middle school youth examined the effects of abuse, family conflict, and sibling aggression on sexual harassment perpetration (N = 1563; M| 11.2, 51% boys; 39% Hispanic, 29% Black, and 19% White). Boys reported more sexual harassment than girls; perpetration increased for both. The association between a hostile home environment and sexual harassment perpetration was moderated by school experiences. School belonging buffered effects of hostile home environment on baseline sexual harassment perpetration for boys who experienced abuse and White adolescents with high sibling aggression. Academic grades moderated change in perpetration over time, but effects differed by sex and race. It is important to understand how early violence exposures relate to sexual violence perpetration during early adolescence.
-
Keywords:
-
Source:J Res Adolesc. 33(2):530-546
-
Pubmed ID:36564897
-
Pubmed Central ID:PMC10880809
-
Document Type:
-
Funding:
-
Volume:33
-
Issue:2
-
Collection(s):
-
Main Document Checksum:urn:sha256:6aee7f93be2330b40b1d9436556ce3a3b309913f98352c99700e32d3da75a7f8
-
Download URL:
-
File Type:
Supporting Files
File Language:
English
ON THIS PAGE
CDC STACKS serves as an archival repository of CDC-published products including
scientific findings,
journal articles, guidelines, recommendations, or other public health information authored or
co-authored by CDC or funded partners.
As a repository, CDC STACKS retains documents in their original published format to ensure public access to scientific information.
As a repository, CDC STACKS retains documents in their original published format to ensure public access to scientific information.
You May Also Like
COLLECTION
CDC Public Access