Primaquine dose and the risk of haemolysis in patients with uncomplicated Plasmodium vivax malaria: a systematic review and individual patient data meta-analysis
Supporting Files
-
2 2024
-
File Language:
English
Details
-
Alternative Title:Lancet Infect Dis
-
Personal Author:Rajasekhar, Megha ; Simpson, Julie A ; Ley, Benedikt ; Edler, Peta ; Chu, Cindy S ; Abreha, Tesfay ; Awab, Ghulam R ; Baird, J Kevin ; Bancone, Germana ; Barber, Bridget E ; Grigg, Matthew J ; Hwang, Jimee ; Karunajeewa, Harin ; Lacerda, Marcus V G ; Ladeia-Andrade, Simone ; Llanos-Cuentas, Alejandro ; Pukrittayakamee, Sasithon ; Rijal, Komal R ; Saravu, Kavitha ; Sutanto, Inge ; Taylor, Walter R J ; Thriemer, Kamala ; Watson, James A ; Guerin, Philippe J ; White, Nicholas J ; Price, Ric N ; Commons, Robert J
-
Description:Background
Primaquine radical cure is used to treat dormant liver-stage parasites and prevent relapsing Plasmodium vivax malaria but is limited by concerns of haemolysis. We undertook a systematic review and individual patient data meta-analysis to investigate the haematological safety of different primaquine regimens for P vivax radical cure.
Methods
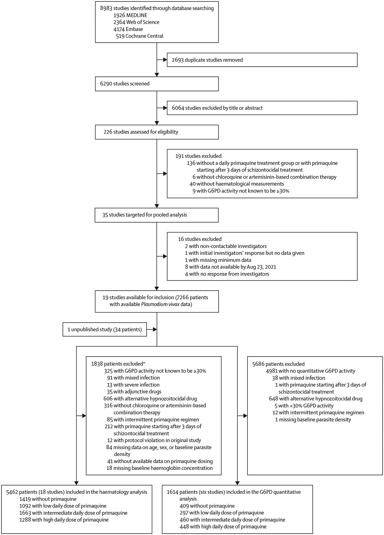
For this systematic review and individual patient data meta-analysis, we searched MEDLINE, Web of Science, Embase, and Cochrane Central for prospective clinical studies of uncomplicated P vivax from endemic countries published between Jan 1, 2000, and June 8, 2023. We included studies if they had active follow-up of at least 28 days, if they included a treatment group with daily primaquine given over multiple days where primaquine was commenced within 3 days of schizontocidal treatment and was given alone or coadministered with chloroquine or one of four artemisinin-based combination therapies (ie, artemether–lumefantrine, artesunate–mefloquine, artesunate–amodiaquine, or dihydroartemisinin–piperaquine), and if they recorded haemoglobin or haematocrit concentrations on day 0. We excluded studies if they were on prevention, prophylaxis, or patients with severe malaria, or if data were extracted retrospectively from medical records outside of a planned trial. For the meta-analysis, we contacted the investigators of eligible trials to request individual patient data and we then pooled data that were made available by Aug 23, 2021. The main outcome was haemoglobin reduction of more than 25% to a concentration of less than 7 g/dL by day 14. Haemoglobin concentration changes between day 0 and days 2–3 and between day 0 and days 5–7 were assessed by mixed-effects linear regression for patients with glucose-6-phosphate dehydrogenase (G6PD) activity of (1) 30% or higher and (2) between 30% and less than 70%. The study was registered with PROSPERO, CRD42019154470 and CRD42022303680.
Findings
Of 226 identified studies, 18 studies with patient-level data from 5462 patients from 15 countries were included in the analysis. A haemoglobin reduction of more than 25% to a concentration of less than 7 g/dL occurred in one (0·1%) of 1208 patients treated without primaquine, none of 893 patients treated with a low daily dose of primaquine (<0·375 mg/kg per day), five (0·3%) of 1464 patients treated with an intermediate daily dose (0·375 mg/kg per day to <0·75 mg/kg per day), and six (0·5%) of 1269 patients treated with a high daily dose (≥0·75 mg/kg per day). The covariate-adjusted mean estimated haemoglobin changes at days 2–3 were −0·6 g/dL (95% CI −0·7 to −0·5), −0·7 g/dL (–0·8 to −0·5), −0·6 g/dL (–0·7 to −0·4), and −0·5 g/dL (–0·7 to −0·4), respectively. In 51 patients with G6PD activity between 30% and less than 70%, the adjusted mean haemoglobin concentration on days 2–3 decreased as G6PD activity decreased; two patients in this group who were treated with a high daily dose of primaquine had a reduction of more than 25% to a concentration of less than 7 g/dL. 17 of 18 included studies had a low or unclear risk of bias.
Interpretation
Treatment of patients with G6PD activity of 30% or higher with 0·25–0·5 mg/kg per day primaquine regimens and patients with G6PD activity of 70% or higher with 0·25–1 mg/kg per day regimens were associated with similar risks of haemolysis to those in patients treated without primaquine, supporting the safe use of primaquine radical cure at these doses.
Funding
Australian National Health and Medical Research Council, Bill & Melinda Gates Foundation, and Medicines for Malaria Venture.
-
Subjects:
-
Source:Lancet Infect Dis. 24(2):184-195
-
Pubmed ID:37748497
-
Pubmed Central ID:PMC7615565
-
Document Type:
-
Funding:
-
Place as Subject:
-
Volume:24
-
Issue:2
-
Collection(s):
-
Main Document Checksum:urn:sha256:4d3ef597f8d27fd9bfe67f0ca63d23595e0a30c2cbb287f86665f6aebb98cd59
-
Download URL:
-
File Type:
Supporting Files
File Language:
English
ON THIS PAGE
CDC STACKS serves as an archival repository of CDC-published products including
scientific findings,
journal articles, guidelines, recommendations, or other public health information authored or
co-authored by CDC or funded partners.
As a repository, CDC STACKS retains documents in their original published format to ensure public access to scientific information.
As a repository, CDC STACKS retains documents in their original published format to ensure public access to scientific information.
You May Also Like
COLLECTION
CDC Public Access