Meningococcal conjugate vaccine safety surveillance in the Vaccine Safety Datalink using a tree-temporal scan data mining method
Supporting Files
-
4 2018
-
File Language:
English
Details
-
Alternative Title:Pharmacoepidemiol Drug Saf
-
Personal Author:
-
Description:Purpose:
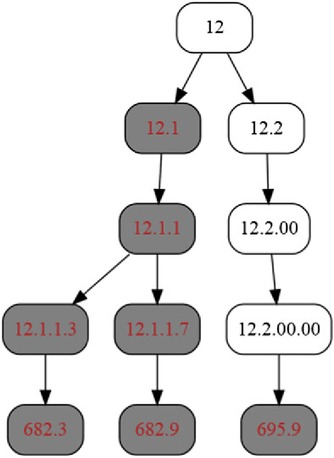
The objective of our study was to conduct a data mining analysis to identify potential adverse events (AEs) following MENACWY-D using the tree-temporal scan statistic in the Vaccine Safety Datalink population and demonstrate the feasibility of this method in a large distributed safety data setting.
Methods:
Traditional pharmacovigilance techniques used in vaccine safety are generally geared to detecting AEs based on pre-defined sets of conditions or diagnoses. Using a newly developed tree-temporal scan statistic data mining method, we performed a pilot study to evaluate the safety profile of the meningococcal conjugate vaccine Menactra® (MenACWY-D), screening thousands of potential AE diagnoses and diagnosis groupings. The study cohort included enrolled participants in the Vaccine Safety Datalink aged 11 to 18 years who had received MenACWY-D vaccination(s) between 2005 and 2014. The tree-temporal scan statistic was employed to identify statistical associations (signals) of AEs following MENACWY-D at a 0.05 level of significance, adjusted for multiple testing.
Results:
We detected signals for 2 groups of outcomes: diseases of the skin and subcutaneous tissue, fever, and urticaria. Both groups are known AEs following MENACWY-D vaccination. We also identified a statistical signal for pleurisy, but further examination suggested it was likely a false signal. No new MENACWY-D safety concerns were raised.
Conclusions:
As a pilot study, we demonstrated that the tree-temporal scan statistic data mining method can be successfully applied to screen broadly for a wide range of vaccine-AE associations within a large health care data network.
-
Keywords:
-
Source:Pharmacoepidemiol Drug Saf. 27(4):391-397
-
Pubmed ID:29446176
-
Pubmed Central ID:PMC10878474
-
Document Type:
-
Funding:
-
Volume:27
-
Issue:4
-
Collection(s):
-
Main Document Checksum:urn:sha256:8f0bb46bfb32a1b181ca258527c27e9cba8922739415357b0e92e94fab7de012
-
Download URL:
-
File Type:
Supporting Files
File Language:
English
ON THIS PAGE
CDC STACKS serves as an archival repository of CDC-published products including
scientific findings,
journal articles, guidelines, recommendations, or other public health information authored or
co-authored by CDC or funded partners.
As a repository, CDC STACKS retains documents in their original published format to ensure public access to scientific information.
As a repository, CDC STACKS retains documents in their original published format to ensure public access to scientific information.
You May Also Like
COLLECTION
CDC Public Access