Comparison of Combination Methods to Create Calibrated Ensemble Forecasts for Seasonal Influenza in the U.S
Supporting Files
-
11 20 2023
-
File Language:
English
Details
-
Alternative Title:Stat Med
-
Personal Author:
-
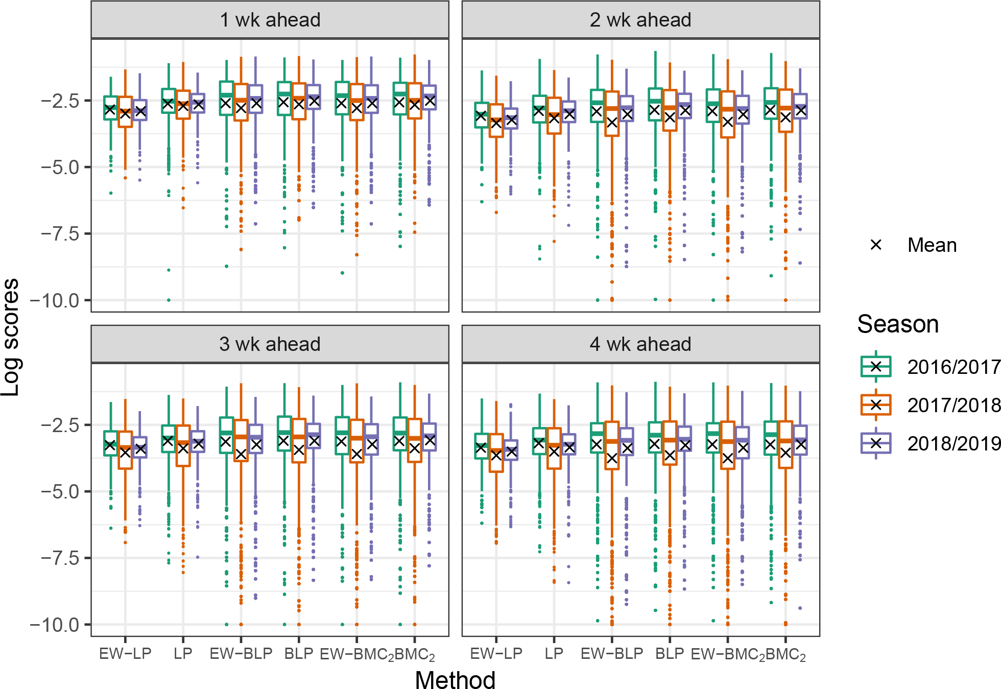
Description:The characteristics of influenza seasons vary substantially from year to year, posing challenges for public health preparation and response. Influenza forecasting is used to inform seasonal outbreak response, which can in turn potentially reduce the impact of an epidemic. The United States Centers for Disease Control and Prevention, in collaboration with external researchers, has run an annual prospective influenza forecasting exercise, known as the FluSight challenge. Uniting theoretical results from the forecasting literature with domain-specific forecasts from influenza outbreaks, we applied parametric forecast combination methods that simultaneously optimize model weights and calibrate the ensemble via a beta transformation and made adjustments to the methods to reduce their complexity. We used the beta-transformed linear pool, the finite beta mixture model, and their equal weight adaptations to produce ensemble forecasts retrospectively for the 2016/2017, 2017/2018, and 2018/2019 influenza seasons in the U.S. We compared their performance to methods that were used in the FluSight challenge to produce the FluSight Network ensemble, namely the equally weighted linear pool and the linear pool. Ensemble forecasts produced from methods with a beta transformation were shown to outperform those from the equally weighted linear pool and the linear pool for all week-ahead targets across in the test seasons based on average log scores. We observed improvements in overall accuracy despite the beta-transformed linear pool or beta mixture methods' modest under-prediction across all targets and seasons. Combination techniques that explicitly adjust for known calibration issues in linear pooling should be considered to improve probabilistic scores in outbreak settings.
-
Subjects:
-
Keywords:
-
Source:Stat Med. 42(26):4696-4712
-
Pubmed ID:37648218
-
Pubmed Central ID:PMC10710272
-
Document Type:
-
Funding:
-
Volume:42
-
Issue:26
-
Collection(s):
-
Main Document Checksum:urn:sha-512:91432f5beac960fe8db21309aefe3c9d7de23633cd6cda7456e7b8d810413588f722652eff4284c3ffe9515f0d2dcb6dc1412052f1a0f5646c609c18c3d7e497
-
Download URL:
-
File Type:
Supporting Files
File Language:
English
ON THIS PAGE
CDC STACKS serves as an archival repository of CDC-published products including
scientific findings,
journal articles, guidelines, recommendations, or other public health information authored or
co-authored by CDC or funded partners.
As a repository, CDC STACKS retains documents in their original published format to ensure public access to scientific information.
As a repository, CDC STACKS retains documents in their original published format to ensure public access to scientific information.
You May Also Like
COLLECTION
CDC Public Access