Anxiety, depression, and social skills in girls with fragile X syndrome: Understanding the cycle to improve outcomes
Supporting Files
-
12 01 2022
-
File Language:
English
Details
-
Alternative Title:J Dev Behav Pediatr
-
Personal Author:
-
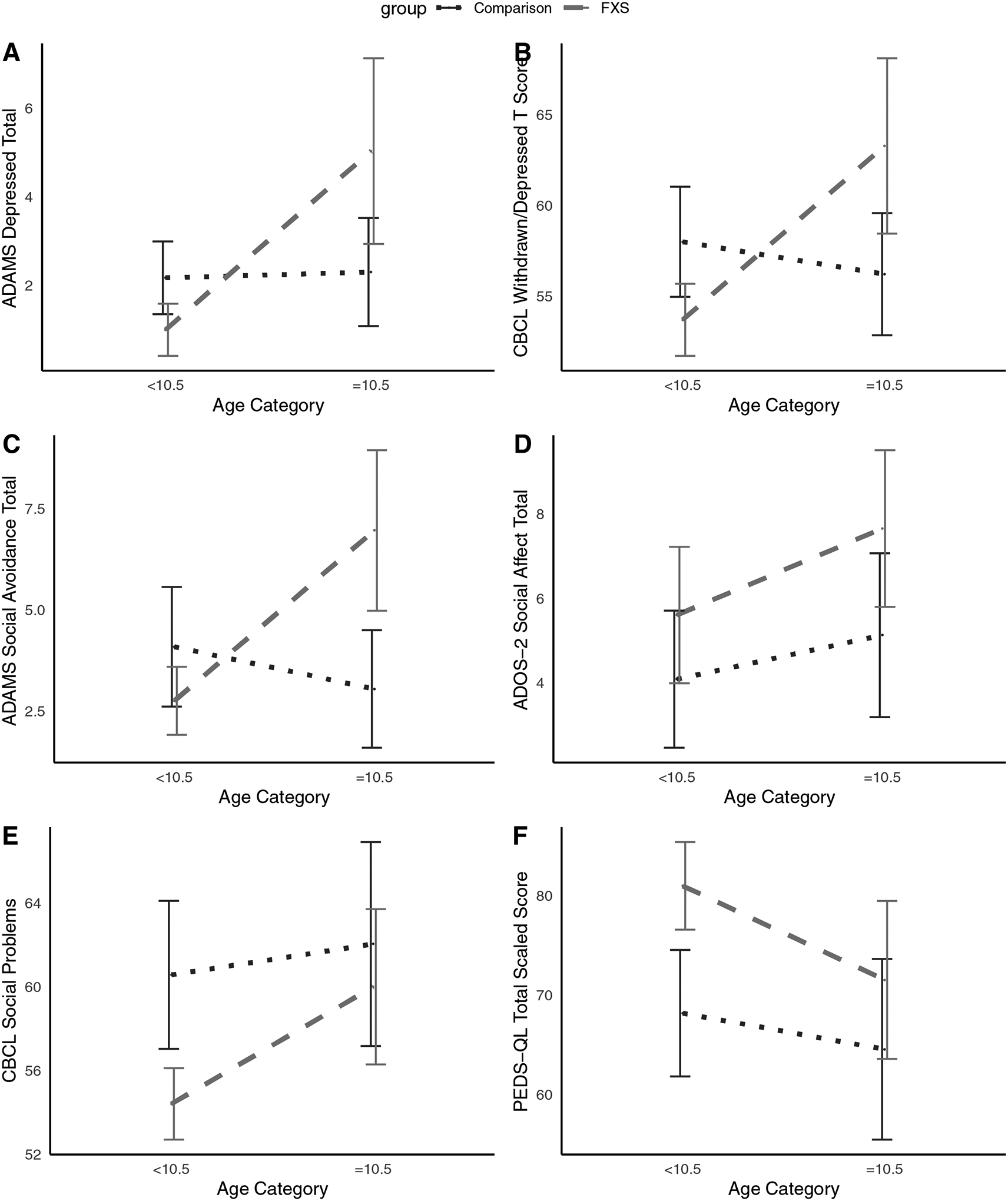
Description:Objective:
Females with fragile X syndrome (FXS), a genetic condition associated with a mutation in the FMR1 gene, are at significantly elevated risk for developing anxiety and depression. This study is designed to better understand these symptoms in school-aged girls, particularly as they relate to age, social skills, and functional outcomes.
Methods:
We compared 58 girls ages 6–16 years with FXS to 46 age-, gender-, and developmentally-matched peers without FXS on measures of anxiety, depression, social skills, adaptive behavior, and quality of life.
Results:
Girls with FXS 10.5 years and older demonstrated significantly higher levels of depression, withdrawal, and social avoidance than girls younger than 10.5 with FXS (p’s < .01). Girls in the comparison group did not show any age-related differences on these measures. The older FXS cohort also showed associations between social communication and interaction skills, adaptive behavior, and measures of anxiety and depression (p’s < .05) not seen in the comparison group, regardless of age.
Conclusion:
We found that age appears to play an important role in the development of mood symptoms and that such symptoms are uniquely correlated with social communication and reciprocal social interaction behaviors and adaptive functioning in girls with FXS post-puberty. These data suggest a critical window of intervention for girls with FXS in the improvement of social interaction skills and the prevention of social avoidance and symptoms of anxiety and depression, with the ultimate goal of improving quality of life and promoting greater independence.
-
Keywords:
-
Source:J Dev Behav Pediatr. 43(9):e565-e572
-
Pubmed ID:36219483
-
Pubmed Central ID:PMC9712149
-
Document Type:
-
Funding:
-
Volume:43
-
Issue:9
-
Collection(s):
-
Main Document Checksum:urn:sha256:c307ef8e7b54ceead442c198eff8addbb5c5ff7db5cf4308b06615ae3ff89865
-
Download URL:
-
File Type:
Supporting Files
File Language:
English
ON THIS PAGE
CDC STACKS serves as an archival repository of CDC-published products including
scientific findings,
journal articles, guidelines, recommendations, or other public health information authored or
co-authored by CDC or funded partners.
As a repository, CDC STACKS retains documents in their original published format to ensure public access to scientific information.
As a repository, CDC STACKS retains documents in their original published format to ensure public access to scientific information.
You May Also Like
COLLECTION
CDC Public Access