Health Insurance Status and Access to Healthcare Among Young Adults with Congenital Heart Disease: from the Congenital Heart Survey To Recognize Outcomes, Needs and Well-beinG (CH STRONG), 2016–2019
Supporting Files
-
8 2024
-
File Language:
English
Details
-
Alternative Title:Pediatr Cardiol
-
Personal Author:
-
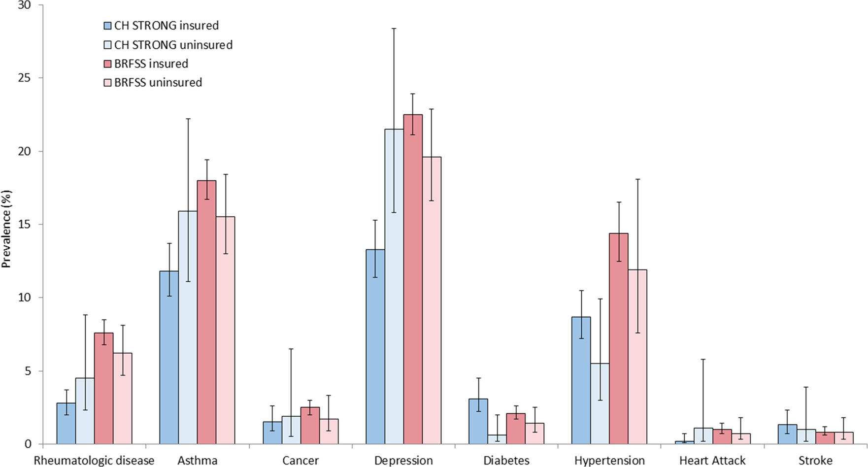
Description:Having health insurance is associated with better access to healthcare and lower rates of comorbidity in the general population, but data are limited on insurance's impact on adults with congenital heart disease (ACHD). The Congenital Heart Survey To Recognize Outcomes, Needs and well-beinG (CH STRONG) was conducted among ACHD in three locations from 2016 to 2019. We performed multivariable logistic regression to determine the associations between health insurance and both access to healthcare and presence of comorbidities. We also compared health insurance and comorbidities among ACHD to similarly-aged individuals in the Behavioral Risk Factor Surveillance System (BRFSS) as a proxy for the general population. Of 1354 CH STRONG respondents, the majority were ≤ 30 years old (83.5%), and 8.8% were uninsured versus 17.7% in the BRFSS (p < 0.01). Compared to insured ACHD, uninsured were less likely to report regular medical care (adjusted odds ratio [aOR] 0.2, 95% confidence interval [CI] 0.1-0.3) and visited an emergency room more often (aOR 1.6, CI 1.0-2.3). Among all ACHD reporting disability, uninsured individuals less frequently received benefits (aOR 0.1, CI 0.0-0.3). Depression was common among uninsured ACHD (22.5%), but insured ACHD had lower rates of depression than insured in the BRFSS (13.3% vs. 22.5%, p < 0.01). In conclusion, rates of insurance were higher among ACHD compared to the general population. Nonetheless, uninsured ACHD inconsistently accessed healthcare and benefits. Further studies are needed to determine if insurance ameliorates the risk of morbidity as ACHD age.
-
Subjects:
-
Keywords:
-
Source:Pediatr Cardiol. 45(6):1308-1315
-
Pubmed ID:36693998
-
Pubmed Central ID:PMC10680444
-
Document Type:
-
Funding:
-
Volume:45
-
Issue:6
-
Collection(s):
-
Main Document Checksum:urn:sha-512:d0ef707c106fcc3da6cf3f485ec9246c8ac03ebaf305105c6e6bef406f858430a02a611b4a92515b1d93fea282e20db9dd822495d0a8b986ae1b874c7dd102df
-
Download URL:
-
File Type:
Supporting Files
File Language:
English
ON THIS PAGE
CDC STACKS serves as an archival repository of CDC-published products including
scientific findings,
journal articles, guidelines, recommendations, or other public health information authored or
co-authored by CDC or funded partners.
As a repository, CDC STACKS retains documents in their original published format to ensure public access to scientific information.
As a repository, CDC STACKS retains documents in their original published format to ensure public access to scientific information.
You May Also Like
COLLECTION
CDC Public Access