U.S. flag An official website of the United States government.
Official websites use .gov

A .gov website belongs to an official government organization in the United States.

Secure .gov websites use HTTPS

A lock ( ) or https:// means you've safely connected to the .gov website. Share sensitive information only on official, secure websites.

i

Survival From Birth Until Young Adulthood Among Individuals With Congenital Heart Defects: CH STRONG

Supporting Files
File Language:
English


Details

  • Alternative Title:
    Circulation
  • Personal Author:
  • Description:
    BACKGROUND:

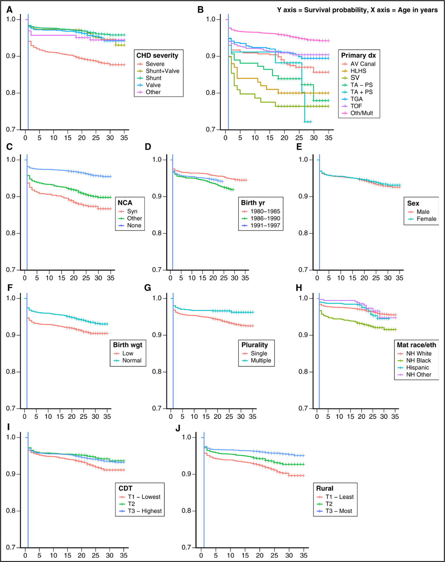
    Limited population-based information is available on long-term survival of US individuals with congenital heart defects (CHDs). Therefore, we assessed patterns in survival from birth until young adulthood (ie, 35 years of age) and associated factors among a population-based sample of US individuals with CHDs.

    METHODS:

    Individuals born between 1980 and 1997 with CHDs identified in 3 US birth defect surveillance systems were linked to death records through 2015 to identify those deceased and the year of their death. Kaplan-Meier survival curves, adjusted risk ratios (aRRs) for infant mortality (ie, death during the first year of life), and Cox proportional hazard ratios for survival after the first year of life (aHRs) were used to estimate the probability of survival and associated factors. Standardized mortality ratios compared infant mortality, >1-year mortality, >10-year mortality, and >20-year mortality among individuals with CHDs with general population estimates.

    RESULTS:

    Among 11 695 individuals with CHDs, the probability of survival to 35 years of age was 81.4% overall, 86.5% among those without co-occurring noncardiac anomalies, and 92.8% among those who survived the first year of life. Characteristics associated with both infant mortality and reduced survival after the first year of life, respectively, included severe CHDs (aRR=4.08; aHR=3.18), genetic syndromes (aRR=1.83; aHR=3.06) or other noncardiac anomalies (aRR=1.54; aHR=2.53), low birth weight (aRR=1.70; aHR=1.29), and Hispanic (aRR=1.27; aHR=1.42) or non-Hispanic Black (aRR=1.43; aHR=1.80) maternal race and ethnicity. Individuals with CHDs had higher infant mortality (standardized mortality ratio=10.17), >1-year mortality (standardized mortality ratio=3.29), and >10-year and >20-year mortality (both standardized mortality ratios ≈1.5) than the general population; however, after excluding those with noncardiac anomalies, >1-year mortality for those with nonsevere CHDs and >10-year and >20-year mortality for those with any CHD were similar to the general population.

    CONCLUSIONS:

    Eight in 10 individuals with CHDs born between1980 and 1997 survived to 35 years of age, with disparities by CHD severity, noncardiac anomalies, birth weight, and maternal race and ethnicity. Among individuals without noncardiac anomalies, those with nonsevere CHDs experienced mortality between 1 and 35 years of age, similar to the general population, and those with any CHD experienced mortality between 10 and 35 years of age, similar to the general population.

  • Subjects:
  • Keywords:
  • Source:
    Circulation. 148(7):575-588
  • Pubmed ID:
    37401461
  • Pubmed Central ID:
    PMC10544792
  • Document Type:
  • Funding:
  • Volume:
    148
  • Issue:
    7
  • Collection(s):
  • Main Document Checksum:
    urn:sha-512:611fc1eee87f5e3e730c45ba7fb00073c9d4424ea34cdbecd7dde4128caf8463f966d640182757745aa9db33e656b58a20b1a9817ac38b42be3551c794d04f50
  • Download URL:
  • File Type:
    Filetype[PDF - 1.62 MB ]
File Language:
English
ON THIS PAGE

CDC STACKS serves as an archival repository of CDC-published products including scientific findings, journal articles, guidelines, recommendations, or other public health information authored or co-authored by CDC or funded partners.

As a repository, CDC STACKS retains documents in their original published format to ensure public access to scientific information.