U.S. flag An official website of the United States government.
Official websites use .gov

A .gov website belongs to an official government organization in the United States.

Secure .gov websites use HTTPS

A lock ( ) or https:// means you've safely connected to the .gov website. Share sensitive information only on official, secure websites.

i

Immunogenicity of type 2 monovalent oral and inactivated poliovirus vaccines for type 2 poliovirus outbreak response: an open-label, randomised controlled trial

Supporting Files
File Language:
English


Details

  • Alternative Title:
    Lancet Infect Dis
  • Personal Author:
  • Description:
    Background

    Monovalent type 2 oral poliovirus vaccine (mOPV2) and inactivated poliovirus vaccine (IPV) are used to respond to type 2 poliovirus outbreaks. We aimed to assess the effect of two mOPV2 doses on the type 2 immune response by varying the time interval between mOPV2 doses and IPV co-administration with mOPV2.

    Methods

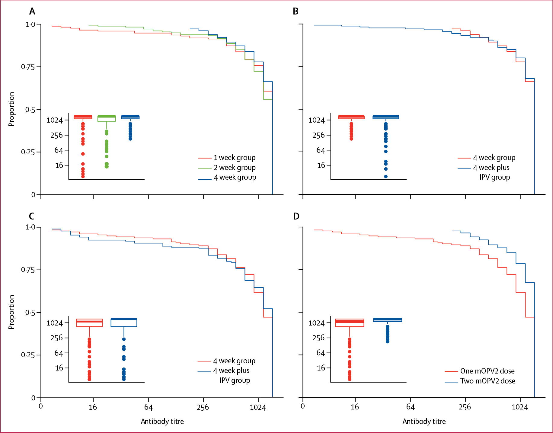
    We did a randomised, controlled, parallel, open-label, non-inferiority, inequality trial at two study clinics in Dhaka, Bangladesh. Healthy infants aged 6 weeks (42–48 days) at enrolment were randomly assigned (1:1:1:1) to receive two mOPV2 doses (each dose consisting of two drops [0·1 mL in total] of about 105 50% cell culture infectious dose of type 2 Sabin strain) at intervals of 1 week, 2 weeks, 4 weeks (standard or control group), or 4 weeks with IPV (0·5 mL of type 1 [Mahoney, 40 D-antigen units], type 2 [MEF-1, 8 D-antigen units], and type 3 [Saukett, 32 D-antigen units]) administered intramuscularly with the first mOPV2 dose. We used block randomisation, randomly selecting blocks of sizes four, eight, 12, or 16 stratified by study sites. We concealed randomisation assignment from staff managing participants in opaque, sequentially numbered, sealed envelopes. Parents and clinic staff were unmasked to assignment after the randomisation envelope was opened. Laboratory staff analysing sera were masked to assignment, but investigators analysing data and assessing outcomes were not. The primary outcome was type 2 immune response measured 4 weeks after mOPV2 administration. The primary modified intention-to-treat analysis included participants with testable serum samples before and after vaccination. A non-inferiority margin of 10% and p=0·05 (one-tailed) was used.

    Findings

    Between Dec 7, 2015, and Jan 5, 2016, we randomly assigned 760 infants to receive two mOPV2 doses at intervals of 1 week (n=191), 2 weeks (n=191), 4 weeks (n=188), or 4 weeks plus IPV (n=190). Immune responses after two mOPV2 doses were observed in 161 (93%) of 173 infants with testable serum samples in the 1 week group, 169 (96%) of 177 in the 2 week group, and 176 (97%) of 181 in the 4 week group. 1 week and 2 week intervals between two mOPV2 doses were non-inferior to 4 week intervals because the lower bound of the absolute differences in the percentage of immune responses were greater than −10% (−4·2% [90% CI −7·9 to −0·4] in the 1 week group and −1·8% [−5·0 to 1·5] in the 2 week group vs the 4 week group). The immune response elicited by two mOPV2 doses 4 weeks apart was not different when IPV was added to the first dose (176 [97%] of 182 infants with IPV vs 176 [97%] of 181 without IPV; p=1·0). During the trial, two serious adverse events (pneumonia; one [1%] of 186 patients in the 1 week group and one [1%] of 182 in the 4 week group) and no deaths were reported; the adverse events were not attributed to the vaccines.

    Interpretation

    Administration of mOPV2 at short intervals does not interfere with its immunogenicity. The addition of IPV to the first mOPV2 dose did not improve poliovirus type 2 immune response.

    Funding

    US Centers for Disease Control and Prevention.

  • Subjects:
  • Source:
    Lancet Infect Dis. 18(6):657-665
  • Pubmed ID:
    29571817
  • Pubmed Central ID:
    PMC10495755
  • Document Type:
  • Funding:
  • Volume:
    18
  • Issue:
    6
  • Collection(s):
  • Main Document Checksum:
    urn:sha-512:eb202f32e96a568e531930e20d418a33152e884428e858b1c853dc7364983ebf1dd94261b988c7f171069d849e7a574f8e637875d722d9c4338d515ed6b182bb
  • Download URL:
  • File Type:
    Filetype[PDF - 791.44 KB ]
File Language:
English
ON THIS PAGE

CDC STACKS serves as an archival repository of CDC-published products including scientific findings, journal articles, guidelines, recommendations, or other public health information authored or co-authored by CDC or funded partners.

As a repository, CDC STACKS retains documents in their original published format to ensure public access to scientific information.