U.S. flag An official website of the United States government.
Official websites use .gov

A .gov website belongs to an official government organization in the United States.

Secure .gov websites use HTTPS

A lock ( ) or https:// means you've safely connected to the .gov website. Share sensitive information only on official, secure websites.

i

Rapid Determination of 235U/238U in Urine Using Q-ICP-MS by a Simple Dilute-and-Shoot Approach

Supporting Files
File Language:
English


Details

  • Alternative Title:
    J Radioanal Nucl Chem
  • Personal Author:
  • Description:
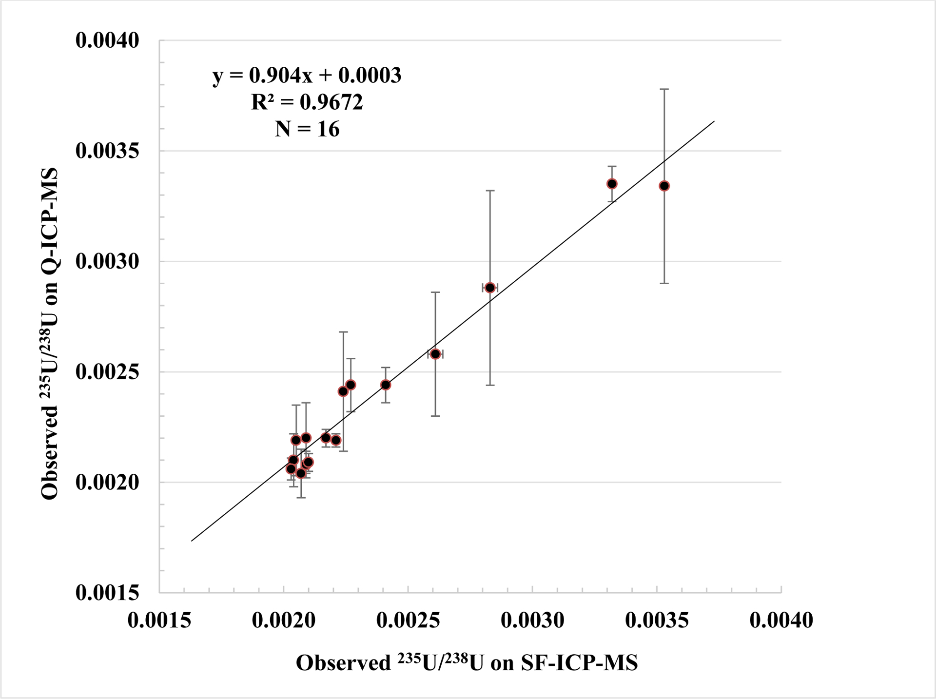
    The measurement of uranium (U) isotope ratios in urine provides valuable information about the source of U exposure in humans and can be vitally important in a radiological emergency. This method provides rapid and accurate results for |U/|U at |U concentrations as low as 0.42 ng/L, which is equivalent to ~200 ng/L of total U for a depleted U (DU) at a |U/|U ratio of ~0.002. The results are within 6% of Certified Reference Materials target values and agree with Department of Defense Armed Forces Institute of Pathology inter-laboratory comparison target values with a bias range of -6.9% to 7.6%.
  • Subjects:
  • Source:
    J Radioanal Nucl Chem. 332(1):185-191
  • Pubmed ID:
    37206056
  • Pubmed Central ID:
    PMC10193512
  • Document Type:
  • Funding:
  • Volume:
    332
  • Issue:
    1
  • Collection(s):
  • Main Document Checksum:
    urn:sha256:dde05ea3cd907fce929031f6dc7ede4182f4e45cda50e681c995b6fd49328725
  • Download URL:
  • File Type:
    Filetype[PDF - 669.56 KB ]
File Language:
English
ON THIS PAGE

CDC STACKS serves as an archival repository of CDC-published products including scientific findings, journal articles, guidelines, recommendations, or other public health information authored or co-authored by CDC or funded partners.

As a repository, CDC STACKS retains documents in their original published format to ensure public access to scientific information.