Covid-19 Rates by Time since Vaccination during Delta Variant Predominance
Supporting Files
-
1 10 2022
-
-
File Language:
English
Details
-
Alternative Title:NEJM Evid
-
Personal Author:Paz-Bailey, Gabriela ; Sternberg, Maya ; Kugeler, Kiersten ; Hoots, Brooke ; Amin, Avnika B. ; Johnson, Amelia G. ; Barbeau, Bree ; Bayoumi, Nagla S. ; Bertolino, Daniel ; Boulton, Rachelle ; Brown, Catherine M. ; Busen, Katherine ; Cima, Michael ; Drenzek, Cherie ; Gent, Ashley ; Haney, Gillian ; Hicks, Liam ; Hook, Sarah ; Jara, Amanda ; Jones, Amanda ; Kamal-Ahmed, Ishrat ; Kangas, Sarah ; Kanishka, F.N.U. ; Khan, Saadiah I. ; Kirkendall, Samantha K. ; Kocharian, Anna ; Lyons, B. Casey ; Lauro, Priscilla ; McCormick, Donald ; McMullen, Chelsea ; Milroy, Lauren ; Reese, Heather E. ; Sell, Jessica ; Sierocki, Allison ; Smith, Elizabeth ; Sosin, Daniel ; Stanislawski, Emma ; Strand, Kyle ; Troelstrup, Thomas ; Turner, Kathryn A. ; Vest, Hailey ; Warner, Sydni ; Wiedeman, Caleb ; Silk, Benjamin ; Scobie, Heather M.
-
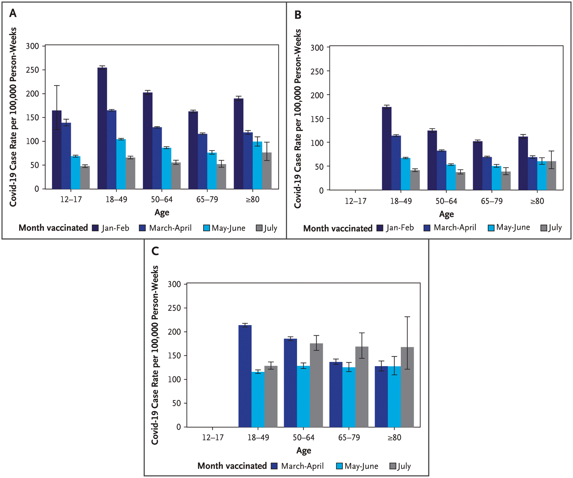
Description:BACKGROUND
With the emergence of the delta variant, the United States experienced a rapid increase in Covid-19 cases in 2021. We estimated the risk of breakthrough infection and death by month of vaccination as a proxy for waning immunity during a period of delta variant predominance.
METHODS
Covid-19 case and death data from 15 U.S. jurisdictions during January 3 to September 4, 2021 were used to estimate weekly hazard rates among fully vaccinated persons, stratified by age group and vaccine product. Case and death rates during August 1 to September 4, 2021 were presented across four cohorts defined by month of vaccination. Poisson models were used to estimate adjusted rate ratios comparing the earlier cohorts to July rates.
RESULTS
During August 1 to September 4, 2021, case rates per 100,000 person-weeks among all vaccine recipients for the January to February, March to April, May to June, and July cohorts were 168.8 (95% confidence interval [CI], 167.5 to 170.1), 123.5 (95% CI, 122.8 to 124.1), 83.6 (95% CI, 82.9 to 84.3), and 63.1 (95% CI, 61.6 to 64.6), respectively. Similar trends were observed by age group for BNT162b2 (Pfizer–BioNTech) and mRNA-1273 (Moderna) vaccine recipients. Rates for the Ad26.COV2.S (Janssen-Johnson & Johnson) vaccine were higher; however, trends were inconsistent. BNT162b2 vaccine recipients 65 years of age or older had higher death rates among those vaccinated earlier in the year. Protection against death was sustained for the mRNA-1273 vaccine recipients. Across age groups and vaccine types, people who were vaccinated 6 months ago or longer (January-February) were 3.44 (3.36 to 3.53) times more likely to be infected and 1.70 (1.29 to 2.23) times more likely to die from COVID-19 than people vaccinated recently in July 2021.
CONCLUSIONS
Our study suggests that protection from SARS-CoV-2 infection among all ages or death among older adults waned with increasing time since vaccination during a period of delta predominance. These results add to the evidence base that supports U.S. booster recommendations, especially for older adults vaccinated with BNT162b2 and recipients of the Ad26.COV2.S vaccine. (Funded by the Centers for Disease Control and Prevention.)
-
Source:NEJM Evid. 1(3)
-
Pubmed ID:37207114
-
Pubmed Central ID:PMC10193243
-
Document Type:
-
Funding:
-
Volume:1
-
Issue:3
-
Collection(s):
-
Main Document Checksum:urn:sha256:3b5c8cf8a5b381a0937c3c7ce9e8eb017db1928eaac27bfa833bb72585e0dfe9
-
Download URL:
-
File Type:
Supporting Files
File Language:
English
ON THIS PAGE
CDC STACKS serves as an archival repository of CDC-published products including
scientific findings,
journal articles, guidelines, recommendations, or other public health information authored or
co-authored by CDC or funded partners.
As a repository, CDC STACKS retains documents in their original published format to ensure public access to scientific information.
As a repository, CDC STACKS retains documents in their original published format to ensure public access to scientific information.
You May Also Like
COLLECTION
CDC Public Access