U.S. flag An official website of the United States government.
Official websites use .gov

A .gov website belongs to an official government organization in the United States.

Secure .gov websites use HTTPS

A lock ( ) or https:// means you've safely connected to the .gov website. Share sensitive information only on official, secure websites.

i

Feasibility of a Selective Epoxidation Technique for Use in Quantification of Peracetic Acid in Air Samples Collected on Sorbent Tubes

Supporting Files
File Language:
English


Details

  • Alternative Title:
    J Chem Health Saf
  • Personal Author:
  • Description:
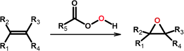
    Peracetic acid is a disinfection agent used in medical and food processing facilities, and occupational exposures have been documented. To facilitate characterization of daily occupational exposures, the current work describes the development of a personal sampling technique to quantify the peracetic acid concentration in air samples. Peracetic acid atmospheres were generated in 100 L Teflon chambers, and samples were collected on 350 mg XAD-7 solid sorbent tubes for 4 h at a flow rate of 250 mL/min using a personal sampling pump. Indirect measurement of peracetic acid was achieved by desorption from the sorbent and subsequent treatment with cyclohexene to initiate an epoxidation reaction, formally known as the Prilezhaev reaction. The epoxidation product, cyclohexene oxide, was quantified by gas chromatography-mass spectrometry. The reaction enabled quantification of peracetic acid with high specificity over the common co-contaminants hydrogen peroxide and acetic acid, which were introduced in 10-fold and 100-fold excess to challenge the reaction. The technique also demonstrated an overall estimate of bias and precision of 11 and 8%, respectively, and a limit of detection of 60 ppbv was estimated. Preliminary storage experiments indicate that unreacted peracetic acid is stable on the sorbent tubes for 72 h when stored at -20 °C following collection. Overall, the specificity of the reaction and capability to sample for longer time periods than current methods, in addition to the use of safer personal sampling materials, demonstrate the utility of this technique for peracetic acid measurement in air.
  • Subjects:
  • Source:
    J Chem Health Saf. 29(4):378-386
  • Pubmed ID:
    37207039
  • Pubmed Central ID:
    PMC10191181
  • Document Type:
  • Funding:
  • Volume:
    29
  • Issue:
    4
  • Collection(s):
  • Main Document Checksum:
    urn:sha256:10ae1f078dcd6f2e7d8d5a94b41ae63698d8e0bda907f1a5de29226d10059e00
  • Download URL:
  • File Type:
    Filetype[PDF - 892.18 KB ]
File Language:
English
ON THIS PAGE

CDC STACKS serves as an archival repository of CDC-published products including scientific findings, journal articles, guidelines, recommendations, or other public health information authored or co-authored by CDC or funded partners.

As a repository, CDC STACKS retains documents in their original published format to ensure public access to scientific information.