Enhanced surveillance for adverse events following immunization during the 2019 typhoid conjugate vaccine campaign in Harare, Zimbabwe
Supporting Files
-
6 09 2022
-
File Language:
English
Details
-
Alternative Title:Vaccine
-
Personal Author:Shaum, Anna ; Mujuru, Hilda A. ; Takamiya, Mayuko ; Ticklay, Ismail ; Nathoo, Kusum ; Sreenivasan, Nandini ; Nyambayo, Priscilla ; Chitando, Phillomina ; Marembo, Joan ; Chigodo, Colline Koline ; Mukaratirwa, Arnold ; Jacha, Vengai ; Gidudu, Jane F. ; Rupfutse, Maxwell ; Jain, Sujeet Kumar ; Manangazira, Portia ; Bennett, Sarah D.
-
Description:Background:
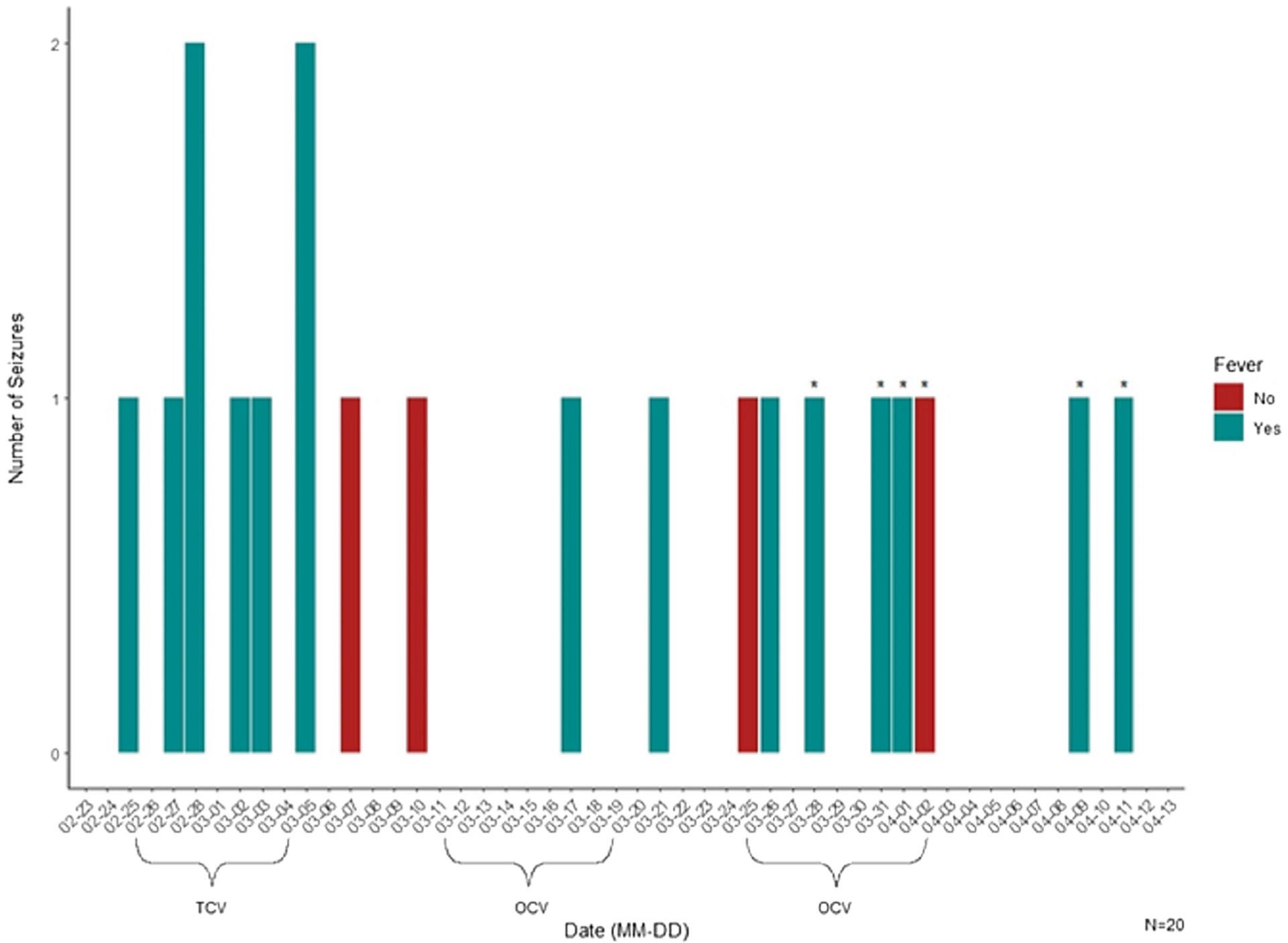
During February 25–March 4, 2019, Zimbabwe’s Ministry of Health and Child Care conducted an emergency campaign using 342,000 doses of typhoid conjugate vaccine (TCV) targeting individuals 6 months–15 years of age in eight high-risk suburbs of Harare and up to 45 years of age in one suburb of Harare. The campaign represented the first use of TCV in Africa outside of clinical trials.
Methods:
Three methods were used to capture adverse events during the campaign and for 42 days following the last dose administered: (1) active surveillance in two Harare hospitals, (2) national passive surveillance, and (3) a post-campaign coverage survey.
Results:
Thirty-nine adverse events were identified during active surveillance, including 19 seizure cases (16 were febrile), 16 hypersensitivity cases, 1 thrombocytopenia case, 1 anaphylaxis case, and two cases with two conditions. Only 21 (54%) of 39 patients were hospitalized and 38 recovered without sequelae. Attack rates per 100,000 TCV doses administered were highest for seizures (6.27) and hypersensitivity (5.02). Only 6 adverse events were reported through passive surveillance by facilities other than the two active surveillance hospitals. A total of 177 (10%) of 1,817 vaccinees surveyed reported experiencing an adverse event during the post-campaign coverage survey, of which 25 (14%) sought care.
Conclusions:
In line with previous evaluations of TCV, enhanced adverse event monitoring during an emergency campaign supports the safety of TCV. The majority of reported events were minor or resulted in recovery without long-term sequelae. Attack rates for seizures and hypersensitivity were low compared with previous active surveillance studies conducted in Kenya and Burkina Faso. Strengthening adverse event monitoring in Zimbabwe and establishing background rates of conditions of interest in the general population may improve future safety monitoring during new vaccine introductions.
-
Subjects:
-
Source:Vaccine. 40(26):3573-3580
-
Pubmed ID:35568590
-
Pubmed Central ID:PMC10116805
-
Document Type:
-
Funding:
-
Place as Subject:
-
Volume:40
-
Issue:26
-
Collection(s):
-
Main Document Checksum:urn:sha256:250e789ad9f8f3e527b39caf839e8901f2071cf6b111149b6e936cf8490da652
-
Download URL:
-
File Type:
Supporting Files
File Language:
English
ON THIS PAGE
CDC STACKS serves as an archival repository of CDC-published products including
scientific findings,
journal articles, guidelines, recommendations, or other public health information authored or
co-authored by CDC or funded partners.
As a repository, CDC STACKS retains documents in their original published format to ensure public access to scientific information.
As a repository, CDC STACKS retains documents in their original published format to ensure public access to scientific information.
You May Also Like
COLLECTION
CDC Public Access