U.S. flag An official website of the United States government.
Official websites use .gov

A .gov website belongs to an official government organization in the United States.

Secure .gov websites use HTTPS

A lock ( ) or https:// means you've safely connected to the .gov website. Share sensitive information only on official, secure websites.

i

Modeling and Analyzing for Thermal Protection of Firefighters’ Glove by Phase Change Material

Supporting Files
File Language:
English


Details

  • Alternative Title:
    J Environ Occup Sci
  • Personal Author:
  • Description:
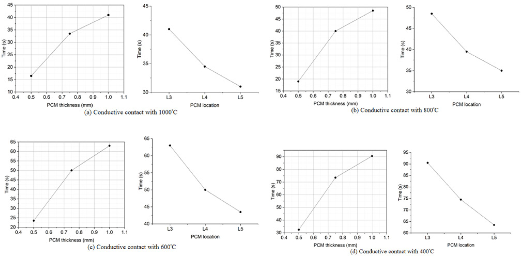
    Firefighter injures caused by burns and thermal stress occupies around 5%-10% of the total injuries annually. Glove is the thinnest/weakest components among the firefighter turnout gear, which can put firefighters, are at risk of severe wrist and hand burns during fire calls. Burns can occur quickly and enhancing the thermal protective performance of firefighters' gloves will prevent these burns. One-dimensional (1D) heat transfer modeling and simulations were performed through the COMSOL Multiphysics software to investigate the improvement of thermal protective performance when integrating a Phase Change Material (PCM) layer into a conventional structural firefighting glove. Parametric studies were conducted to explore the effects of PCM thermal properties, layer thickness, and location in glove structure on hand protection. It was found that a PCM with a higher density, specific heat, and latent heat of fusion had a larger heat capacity and thermal inertia, resulting in better thermal protective performance. The optimum melting point of PCM was found to be in the range of 80°C-140°C. A PCM layer with a thickness of 0.5 mm-1.0 mm showed sufficient thermal protection. The location of the PCM layer should be close to the inner glove surface for high-heat situations. Overall, modeling suggests that the addition of a PCM layer could significantly enhance the thermal protective performance of firefighters' gloves, with results showing increased time (2-4 times as long) for skin to reach second-degree burn temperature when compared to the conventional glove without PCM.
  • Subjects:
  • Source:
    J Environ Occup Sci. 12(2):118-127
  • Pubmed ID:
    37041862
  • Pubmed Central ID:
    PMC10084728
  • Document Type:
  • Funding:
  • Volume:
    12
  • Issue:
    2
  • Collection(s):
  • Main Document Checksum:
    urn:sha256:a81d513bc5ae3f8b99488994e1c1c02a8d8e34ce629ed0c2fd939ab097606da6
  • Download URL:
  • File Type:
    Filetype[PDF - 1.43 MB ]
File Language:
English
ON THIS PAGE

CDC STACKS serves as an archival repository of CDC-published products including scientific findings, journal articles, guidelines, recommendations, or other public health information authored or co-authored by CDC or funded partners.

As a repository, CDC STACKS retains documents in their original published format to ensure public access to scientific information.